曲俊彦教授:碳青霉烯酶类耐药鲍曼不动杆菌感染的诊治进展

感染医线 发表时间:2023/4/13 17:50:17

碳青霉烯酶类耐药鲍曼不动杆菌(CRAB)对人类威胁巨大。2013年美国CDC首次据威胁程度将耐药细菌分为三级:紧急/严重/值得关注。2019年CRAB 位列“紧急威胁”名单首位。即使在近年持续的感染控制措施和加强抗菌药物合理应用情况下,CRAB感染病死率仍处于高位。在近日举行的中华医学会第三次全国细菌真菌感染学术会议(BISC 2023)上,四川大学华西医院感染性疾病中心曲俊彦教授分享了CRAB感染的诊治现状和研究进展,并梳理了最新指南与共识建议。
 
CRAB的临床现状与困境
 
CRAB临床和经济负担重。与对碳青霉烯类敏感病例相比,CRAB患者的总住院费用、住院时间、住院死亡率显著增加。我国鲍曼不动杆菌临床分离率高。最新《CHINET中国细菌耐药监测结果(2022年1-12月)》显示,约34万的临床分离菌种中,鲍曼不动杆菌检出率为7.5%(图1)。CRAB对抗菌药物耐药率高,而CRAB感染可选药物极为有限,CRAB治疗迫切需要新的抗菌药物。2017年世卫组织公布的迫切需要新抗生素的细菌清单中,CRAB列为1类重点、极为重要。
 
图1.临床分离菌种分布情况(引自参考文献[3])
 
患者体内分离到的CRAB可能代表定植或感染,区分是一项挑战。鲍曼不动杆菌通常在呼吸道标本或伤口中分离得到,此类患者通常免疫功能受限或有相关危险因素(如机械通气、广泛烧伤等),疗效不佳时很难确定是和不恰当的抗菌药物治疗方案有关或是自身疾病进展所致。一旦出现CRAB,意味着它已对大多数的其他类抗生素耐药,导致治疗药物选择非常有限。另外,目前没有明确针对CRAB感染的“标准抗菌药物方案”,对常用药物治疗有效性的比较研究有限。
 
那么如何区分定植与感染呢?从呼吸道、肺或皮肤等非无菌部位分离到CRAB通常代表定植,除非有明显的感染迹象。只有在临床高度怀疑感染并出现某些感染迹象时,才有必要进行治疗。然而,在免疫抑制或其他高危患者中,难以区分感染和定植,则可能需要进行治疗。在血液、脑脊液、胸膜等无菌部位CRAB培养阳性时,应考虑是否有植入物或留置导管。如无,则分离到的CRAB代表感染,应进行治疗。如果有留置装置且无活动性感染迹象,则应尽可能更换该装置,且无需治疗。如果有活动性感染的迹象,应移除或更换该装置,并对患者进行治疗。培养到阳性CRAB后的处理流程见图2。
 
图2. 培养到阳性CRAB后的处理流程(引自参考文献[4])
 
CRAB感染治疗药物进展
 
CRAB感染治疗药物包括氨苄西林舒巴坦、多黏菌素、米诺环素、替加环素、依拉环素、头孢地尔。
 
(1)氨苄西林舒巴坦
 
舒巴坦是一种不可逆的竞争性β-内酰胺酶抑制剂,高剂量给药时能够饱和PBP1和PBP3。非β-内酰胺类β-内酰胺酶抑制剂(如阿维巴坦、瑞来巴坦和法硼巴坦)对CRAB没有治疗作用。一项纳入2118例患者的荟萃分析发现,与基于多黏菌素或替加环素的方案相比,氨苄西林-舒巴坦更能有效降低死亡率。一项纳入18项研究和1835例患者的荟萃分析发现大剂量氨苄西林-舒巴坦(日剂量至少9g舒巴坦)联合第二种药物是降低CRAB感染危重患者死亡率的最有效方案。即使体外试验CRAB对氨苄西林-舒巴坦不敏感,但通过PBP饱和机制,大剂量氨苄西林-舒巴坦仍可能是体内有效治疗方法。
 
(2)多黏菌素
 
应用于临床的多黏菌素共有3种,硫酸黏菌素、多黏菌素E甲磺酸钠(CMS)和硫酸多黏菌素B。2020年一项系统综述旨在比较基于多黏菌素与基于非多黏菌素的疗法在CRAB感染中的疗效和安全性。研究显示,两组间的微生物反应和住院时间没有统计学显著差异,但基于多黏菌素的治疗可能比基于非多黏菌的治疗更具优势,而基于非多黏菌素的治疗不良事件更少(图3)。
 
图3.临床反应的荟萃分析(A临床反应;B微生物反应;C住院时长;D不良事件。)(引自参考文献[9])
 
(3)米诺环素
 
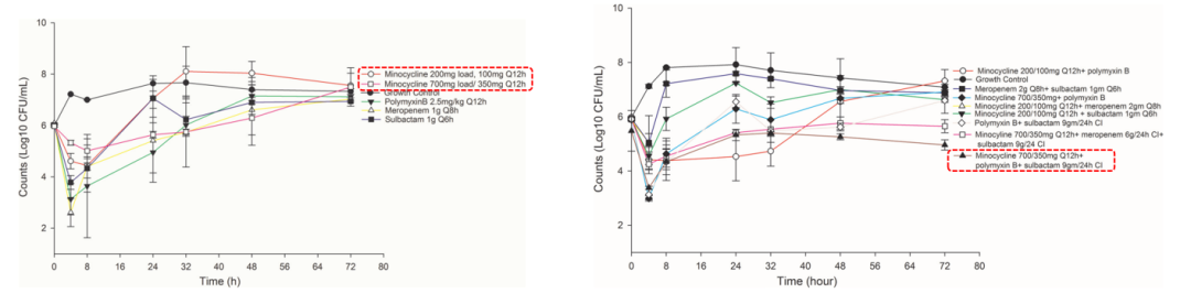
米诺环素对鲍曼不动杆菌(包括CRAB)具有杀菌活性,当与其他药物如黏菌素、利福平和碳青霉烯类药物合用时可发挥协同作用。米诺环素治疗CRAB感染时建议与其他抗生素联合使用。2021年一项研究发现,体外试验大剂量米诺环素(350mg,q12h)可能比标准剂量米诺环素治疗CRAB感染更有效(图5左),大剂量米诺环素与大剂量舒巴坦和多黏菌素B联合使用时具有更强的杀菌活性(图4右)。
 
图4.大剂量米诺环素的杀菌作用(引自参考文献[13])
 
(4)替加环素
 
替加环素应用于CRAB感染,通常作为联合方案的一部分,但其疗效仍有争议。当有其他有效的抗生素选择时,不应将替加环素用作单一药物。研究显示,较高剂量替加环素(200mg静脉负荷剂量,随后每12小时100mg)可增加血浆和肺部浓度,用于肺部感染和全身感染安全性好,并显示出更好的结局。
 
(5)依拉环素
 
依拉环素对CRAB和CRE有显著活性,但对铜绿假单胞菌没有活性。2022年一项研究显示,46例鲍曼不动杆菌感染患者使用ERV治疗,其中CRAB占69.5%;基于依拉环素的治疗方案组30天死亡率为23.9%,且依拉环素不良事件发生率较低(2.1%)。目前依拉环素用于CRAB治疗的临床信息非常有限,尚无足够证据推荐使用依拉环素治疗CRAB感染。
 
(6)头孢地尔
 
头孢地尔是新一代铁载体头孢菌素,对所有革兰阴性菌具有强力杀灭活性。2021年CREDIBLE-CR研究显示,头孢地尔可用于碳青霉烯酶耐药菌感染治疗,与接受最佳疗法(主要是基于多黏菌素的方案)治疗相比,接受头孢地尔治疗的CRAB患者的死亡率更高,分别为34%和18%。2022年一项研究显示,头孢地尔单药治疗CRAB感染不劣于大剂量延长输注美罗培南单药疗效。目前头孢地尔治疗CRAB数据有限,需进一步的研究来评估其临床活性。
 
(7)磷霉素
 
可联合使用静脉磷霉素治疗CRAB感染,已有研究显示含磷霉素的治疗方案降低CRAB感染死亡风险。然而,除非没有其他选择,否则没有足够的数据支持磷霉素治疗危及生命的感染。
 
 (8)碳青霉烯类
 
延长输注碳青霉烯类药物治疗可被用作联合方案中的第三种药物。已有体外研究显示,在多黏菌素联合美罗培南、舒巴坦(或替加环素)治疗CRAB可产生协同作用。
 
欧美最新指南与共识对CRAB感染治疗方案的推荐
 
(1)2021年IDSA指南:产AmpC β-内酰胺酶肠杆菌、耐碳青霉烯鲍曼不动杆菌和嗜麦芽寡养单胞菌感染的治疗
 
目前缺乏可靠的临床数据支持某种单药治疗,且一般CRAB感染患者病情严重,并有严重合并症,且初始敏感的抗菌药物可能会产生耐药性,基于此,IDSA专家组建议尽可能使用至少两种活性药物联合治疗,首选的治疗方案是氨苄西林-舒巴坦(病原菌耐药时使用大剂量)联合米诺环素、替加环素或多黏菌素。
 
(2)2022年欧洲多重耐药革兰阴性菌感染治疗指南
 
对于舒巴坦敏感的CRAB患者,建议使用氨苄西林-舒巴坦;对舒巴坦耐药的CRAB患者,可使用多黏菌素或高剂量替加环素(如体外敏感);对于严重和CRAB感染高风险的患者,建议在现有的抗菌药物(多黏菌素、氨基糖苷、替加环素、舒巴坦)中选择包含有两种体外活性抗生素的联合治疗;不建议使用头孢地尔治疗CRAB感染;不建议使用多黏菌素+美罗培南或多黏菌素+利福平联合治疗。
 
(3)2022 西班牙临床微生物和传染病学会(SEIMC)共识:碳青霉烯耐药革兰阴性菌感染的诊断和抗菌治疗
 
首选治疗:舒巴坦;次选治疗:多黏菌素、米诺环素、替加环素、氨基糖苷类、头孢地尔(C-III)。
 
小结
 
在流行病学和疾病负担方面,近年来CRAB的临床分离率和病死率高均较高,对人类健康产生巨大威胁,迫切需要开发新的药物。
 
目前CRAB的诊断和治疗仍面临较大困境与挑战,临床获取CRAB结果后,需仔细鉴别是定植还是感染。
 
在CRAB治疗方面,目前可选药物相对有限,尚无证据表明哪种治疗方案更佳。
 
尚无证据支持选择单药还是联合更佳;但从循证医学证据和相关指南来看,中重度CRAB感染宜选择氨苄西林-舒巴坦联合米诺环素、替加环素或多黏菌素或至少两种体外活性抗菌药物的联合治疗。
 
参考文献
 
1. https://www.cdc.gov/Drug Resistance/Biggest-Threats.html
 
2. Zhen X, St?lsby Lundborg C, Sun X, Gu S, Dong H. Clinical and Economic Burden of Carbapenem-Resistant Infection or Colonization Caused by Klebsiella pneumoniae, Pseudomonas aeruginosa, Acinetobacter baumannii: A Multicenter Study in China. Antibiotics (Basel). 2020 Aug 13;9(8):514.
 
3. 胡付品等,CHINET中国细菌耐药监测结果(2022年1-12月).From:http://www.chinets.com/Team/Index
 
4. Bartal C, Rolston KVI, Nesher L. Carbapenem-resistant Acinetobacter baumannii: Colonization, Infection and Current Treatment Options. Infect Dis Ther. 2022;11(2):683-694.
 
5. Jung SY, Lee SH, Lee SY, et al. Antimicrobials for the treatment of drug-resistant Acinetobacter baumannii pneumonia in critically ill patients: a systemic review and Bayesian network meta-analysis. Crit Care. 2017;21(1):319.
 
6. Liu J, Shu Y, Zhu F, et al. Comparative efficacy and safety of combination therapy with high-dose sulbactam or colistin with additional antibacterial agents for multiple drug-resistant and extensively drug-resistant Acinetobacter baumannii infections: A systematic review and network meta-analysis. J Glob Antimicrob Resist. 2021;24:136-147.
 
7. 中国多黏菌素类抗菌药物临床合理应用多学科专家共识(2021版).中华结核和呼吸杂志, 2021, 44 (4 ): 292-310.
 
8. Bergen PJ, Li J, Rayner CR, Nation RL. Colistin methanesulfonate is an inactive prodrug of colistin against Pseudomonas aeruginosa. Antimicrob Agents Chemother. 2006;50(6):1953-1958.
 
9. Lyu C, et al. Clinical efficacy and safety of polymyxins based versus non-polymyxins based therapies in the infections caused by carbapenem-resistant Acinetobacter baumannii: a systematic review and meta-analysis. BMC Infect Dis. 2020;20(1):296.
 
10. Tamma PD, et al. Infectious Diseases Society of America Guidance on the Treatment of AmpC β-Lactamase-Producing Enterobacterales, Carbapenem-Resistant Acinetobacter baumannii, and Stenotrophomonas maltophilia Infections. Clin Infect Dis. 2022;74(12):2089-2114.
 
11. Greig SL, Scott LJ. Intravenous minocycline: a review in acinetobacter infections. Drugs. 2016;76:1467–76.
 
12. Ritchie DJ, Garavaglia-Wilson A. A review of intra venous minocycline for treatment of multidrug-resistant acinetobacter infections. Clin Infect Dis.2014;59:S374–80.
 
13.  Beganovic M,et al. Minocycline alone and in combination with polymyxin B, meropenem, and sulbactam against carbapenem susceptible and -resistant Acinetobacter baumannii in an in vitro pharmacodynamic model. Antimicrob Agents Chemother 2021; 65
 
14. Ramirez J, Dartois N, Gandjini H, Yan JL, Korth-Bradley J, McGovern PC. Randomized phase 2 trial to evaluate the clinical efficacy of two high-dosage tigecycline regimens versus imipenem-cilastatin for treatment of hospital-acquired pneumonia. Antimicrob Agents Chemother. 2013;57(4):1756-1762.
 
15. Alosaimy S, et al. Clinical Outcomes of Eravacycline in Patients Treated Predominately for Carbapenem-Resistant Acinetobacter baumannii. Microbiol Spectr. 2022;10(5):e0047922.
 
16. Bassetti M, Echols R, Matsunaga Y, et al. Efficacy and safety of cefiderocol or best available therapy for the treatment of serious infections caused by carbapenem-resistant Gram-negative bacteria (CREDIBLE-CR): a randomised, open-label, multicentre, pathogen-focused, descriptive, phase 3 trial. Lancet Infect Dis. 2021;21(2):226-240.
 
17. Pintado V, Ruiz-Garbajosa P, Aguilera-Alonso D, et al. Executive summary of the consensus document of the Spanish Society of Infectious Diseases and Clinical Microbiology (SEIMC) on the diagnosis and antimicrobial treatment of infections due to carbapenem-resistant Gram-negative bacteria [published online ahead of print, 2022 Dec 13]. Enferm Infecc Microbiol Clin (Engl Ed). 2022;S2529-993X(22)00281-7.
 
18. Rattanaumpawan P, Lorsutthitham J, Ungprasert P, Angkasekwinai N, Thamlikitkul V. Randomized controlled trial of nebulized colistimethate sodium as adjunctive therapy of ventilator-associated pneumonia caused by Gram-negative bacteria. J Antimicrob Chemother. 2010;65(12):2645-2649.
 
19. Niederman MS, Alder J, Bassetti M, et al. Inhaled amikacin adjunctive to intravenous standard-of-care antibiotics in mechanically ventilated patients with Gram-negative pneumonia (INHALE): a double-blind, randomised, placebo-controlled, phase 3, superiority trial. Lancet Infect Dis. 2020;20(3):330-340.
 
20. Makris D, et al. Colistin versus Colistin Combined with Ampicillin-Sulbactam for Multiresistant Acinetobacter baumannii Ventilator-associated Pneumonia Treatment: An Open-label Prospective Study. Indian J Crit Care Med. 2018;22(2):67-77.
 
21. Russo A, Bassetti M, Bellelli V, et al. Efficacy of a Fosfomycin-Containing Regimen for Treatment of Severe Pneumonia Caused by Multidrug-Resistant Acinetobacter baumannii: A Prospective, Observational Study. Infect Dis Ther. 2021;10(1):187-200.
 
22. Abdul-Mutakabbir JC, Yim J, Nguyen L, et al. In Vitro Synergy of Colistin in Combination with Meropenem or Tigecycline against Carbapenem-Resistant Acinetobacter baumannii. Antibiotics (Basel). 2021;10(7):880. Published 2021 Jul 20.
 
23. European Society of Clinical Microbiology and Infectious Diseases (ESCMID) guidelines for the treatment of infections caused by multidrug-resistant Gram-negative bacilli (endorsed by European society of intensive care medicine). Clinical Microbiology and Infection, 2022, 28:521e547.
 
 
曲俊彦 教授
 
四川大学华西医院感染性疾病中心
 
医学博士,主任医师,硕士研究生导师
 
加拿大英属哥伦比亚大学访问学者
 
四川省卫健委学术技术带头人后备人选
 
中国医院协会抗菌药物合理应用工作委员会委员
 
中国医药教育协会感染疾病专业委员会青年委员
 
四川省医学会细菌真菌感染与耐药防治专委会委员兼秘书
 
四川省医学会呼吸分会结核学组委员
 
《中华传染病杂志》、《国外医药抗生素分册》等杂志通讯编委,《中国抗生素杂志》、《西部医学》等杂志审稿专家
 
 主持国家自然科学基金、四川省科技厅等多项省部级以上课题
 
以第一作者或通讯作者发表50余篇论文,其中SCI论文20余篇
 
(来源:《感染医线》)
 
声 明
 
凡署名原创的文章版权属《感染医线》所有,欢迎分享、转载(开白可后台留言)。本文仅供医疗卫生专业人士了解最新医药资讯参考使用,不代表本平台观点。该等信息不能以任何方式取代专业的医疗指导,也不应被视为诊疗建议,如果该信息被用于资讯以外的目的,本站及作者不承担相关责任。
 
责任编辑:彭伟彬
相关搜索:  BISC 2023

发表评论

提交评论
返回
顶部