2023年ECCMID脓毒症/菌血症诊疗研究进展

感染医线 发表时间:2023/5/30 13:22:06

编者按:第33届欧洲临床微生物学和感染病大会(ECCMID 2023)于2023年4月15~18日在丹麦哥本哈根举行,ECCMID是临床微生物学、感染性疾病和感染控制领域规模最大、内容最全、最具影响力的国际会议。在大会首日的口头报告中,设有“Hot topics in sepsis(脓毒症热点话题)”的专场报告,涵盖了脓毒症、菌血症的诊断、治疗和风险评估等内容。《感染医线》整理如下。
 
01
革兰阴性菌血流感染患者发生持续菌血症的危险因素:一项系统回顾和荟萃分析[1]
 
血培养随访(FUBC)的价值充满争议,其与生存率提高相关,但也与住院和治疗时间延长相关。另外,FUBC阳性也可作为预后标志物。因此,在革兰阴性菌血流感染(GN-BSI)患者中找出哪些人更适合进行FUBC才是关键。
 
C. Bonazzetti等人报道的一项系统回顾和荟萃分析,探讨了GN-BSI患者进行FUBC对患者治疗及结局的影响,以及并试图寻找患者发生GN-BSI持续菌血症的风险因素。作者共筛选3747篇文献,最终纳入11项研究。总体上,采用FUBC与死亡风险显著降低相关(OR 0.58;95%CI:0.49~0.70,图1),该分析结果不存在异质性和偏倚(P=0.68,I2=0.0%)。
 
 
此外,FUBC与治疗时间更长(SMD 0.65;95%CI:0.45~0.84)、住院时间更长(SMD 0.75;95%CI:0.19~1.31)相关,并且与有效医疗资源控制相关(OR 1.38;95%CI:1.07~1.78)。
 
能够预判FUBC阳性的显著性独立风险因素(图2)是:终末期肾病(ESRD)(N=3;OR 2.99;95%CI:1.77~5.05)、中心静脉插管(CVC)(N=4;OR 3.30;95%CI:1.82~5.95)、产ESBL或产碳青霉烯酶肠杆菌(CPE)感染(N=4;OR 3.24;95%CI 2.01~5.23)、对经验性治疗耐药(N=3;OR 2.70;95%CI 1.65~4.41)、48小时内治疗反应不佳(N=2;OR 2.99;95% CI 1.44~6.24)。这些风险因素没有发现异质性或出版偏倚。
 
 
作者将上述风险因素用于患者分层,将患者分为持续菌血症低危(0分)或高危(>1分)(图2),以优化GN-BSI患者的血培养随访;该分层方法有待进一步研究验证。
 
小结:这项系统回顾和荟萃分析结果表明,血培养随访(FUBC)的确能够改善革兰阴性菌血流感染患者的生存获益,但FUBC也会延长治疗和住院时间;作者同时确定了持续菌血症的风险因素,并以此建立指导FUBC的分层模型,有待前瞻性研究确认。
 
02
氯唑西林+磷霉素对比氯唑西林治疗甲氧西林敏感金黄色葡萄球菌(MSSA)菌血症:一项临床随机试验(SAFO)[2]
 
金葡菌是引起菌血症(BAC)的常见病原菌,包括甲氧西林敏感金葡菌(MSSA)和甲氧西林耐药金葡菌(MRSA)。尽管近年来MRSA-BAC发病率有所下降,但MSSA-BAC发病率和死亡率仍居高不下。SAFO研究旨在明确在氯唑西林基础上联合氯霉素是否能够提高治疗成功率。
 
这是一项开放标签的IV-III期、优效性随机对照试验,在西班牙的19家医院拟入组MSSA-BAC患者,随机(1:1)接受7天疗程的氯唑西林(2 g/4h)+磷霉素(3 g/6h)或氯唑西林(2 g/4h)静脉治疗,由医生独立决定后续抗菌治疗。研究的主要终点是7天治疗成功率(包括:患者存活,快速SOFA评分稳定或改善,无发热,第7天MSSA血培养阴性)。
 
研究共入组215例患者(联合组115例,单药组110例)。在意向性治疗人群(ITT,n=214)中,联合组和单药组的治疗成功率分别为79.8%(83/104)和74.5%(82/110),差异仅为5.3%(95%CI:–5.95~16.48);但联合组血培养转阴更快,两组第3天的菌血症阳性率分别为3.85%(4/104)和16.4%(18/110)(P=0.003)。
 
与单药组相比,联合治疗导致停药的不良事件发生率更高(10.6% vs 8.2%;差异为2.4% ,95%CI:–5.43~10.22)。
 
小结:对于MSSA-BAC的住院患者,氯唑西林联合磷霉素的7天治疗成功率并未相较于单独氯唑西林显著提高,而且联合治疗增加了不良事件发生率。
 
03
IL-6受体阻断用于脓毒症和脓毒症相关死亡的治疗潜力:一项孟德尔随机研究[3]
 
脓毒症的一个致命性特征可以导致人体免疫反应失调,目前普遍认为是由于白介素6(IL-6)等细胞因子所驱动。IL-6受体的遗传学变异可以调节IL-6的信号转导,在COVID-19重症患者中,IL-6受体拮抗剂已被随机对照试验证实可以改善患者结局。
 
F. Hamilton等人报道的一项研究,使用IL-6受体内部及周边的单核苷酸多态性(SNP)进行孟德尔随机研究,以评价该疗法是否具有治疗脓毒症患者的价值。
 
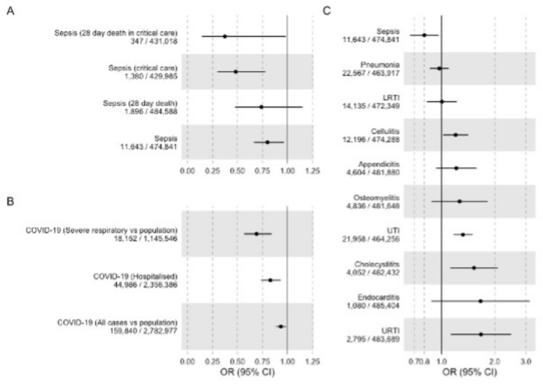
研究结果显示:在UK Biobank队列中(N=486484,11643例存在脓毒症),阻断IL-6受体与脓毒症风险降低相关(OR 0.80;95%CI:0.66~0.96)。IL-6受体拮抗治疗还可以带来以下不同程度的改善:28天脓毒症死亡率(OR 0.74;95%CI:0.47~1.15)、因脓毒症入住ICU(OR 0.48,95%CI:0.30~0.78)、因脓毒症导致ICU内死亡(OR 0.37,95%CI:0.14~0.98)。
 
 
在GainS和GenOSept联盟的数据库中,阻断IL-6受体与ICU重症肺炎风险(OR 0.69;95%CI:0.49~0.97)以及ICU脓毒症死亡风险(OR 0.22;95%CI:0.04~1.31)降低相关。研究人员也证实了新冠宿主遗传学倡议(COVID-19 HGI)所报道的,IL-6受体阻断对重症新冠患者具有保护作用(OR 0.69,95% 0.57~0.84),该保护作用的程度与这项脓毒症研究观察到的获益程度相似。
 
 
小结:IL-6受体阻断治疗与脓毒症发病率风险降低存在相关性;此外,也和脓毒症死亡、脓毒症入住ICU风险降低相关。这些脓毒症治疗获益程度与重症新冠治疗的获益程度相似,阻断IL-6可以改善患者生存,因此,值得将IL-6受体拮抗剂用于脓毒症治疗的随机试验。
 
04
重症监护脓毒症患者阳性血培养的快速纳米微孔宏基因组测序和预测性药敏试验[4]
 
基于全血标本测序的病原学诊断,容易受到人源核酸的干扰,检测结果的临床解释有一定难度;而对血培养分离物进行宏基因组测序和in-silico抗生素敏感性预测,有助于克服这些挑战。这项研究旨在评估在ICU血流感染患者中,将血培养物直接进行纳米孔测序的诊断价值。
 
该研究从阳性血培养物中提取人缺失性DNA(Human-depleted DNA)进行MinION测序;并使用AresCloud人工智能系统分析序列数据,以提供细菌识别和预测性抗生素敏感性试验(AST);并与传统鉴定(MALDI-TOF)和表型AST进行比较。
 
一共对43个血液培养五进行宏基因组序列。在38/43(88.3%)个样本中,常规方法的菌种鉴定与宏基因测序结果一致。在2个多微生物样本中,通过测序仅检测到培养鉴定的2个菌群类别(taxa)中的1个。在1个样本中,观察到菌属(genus)水平的一致性(阴沟肠杆菌 vs. 阿氏肠杆菌)。在另一个样本中,白念珠菌被误认为是蜡样芽孢杆菌,因为该系统不是为真核基因组优化的。
 
对于预测性AST,总体分类符合率为85.4%,其中14.7%为重大错误(MEs),13.3%为非常重大错误(VMEs)。其中,某些分类群(例如金黄色葡萄球菌、粪肠球菌)的一致性(categorical agreement,CA)达到100%。相较于其他肠杆菌属(例如肠杆菌CA 89.7%,肺克CA 93.1%),铜绿假单胞菌的一致性略差(CA 52.4%)。错误通常反映了基因组覆盖范围不足和/或片段装配。值得注意的是,测序报告时间在血培养阳性后8—16小时内即可完成。
 
总结:从阳性血培养物中直接进行宏基因组测序是可行的,可以为一些常见的细菌物种提供准确的预测药敏试验,但结果高度依赖于序列质量。基于纳米孔的方法可能更快,并提供实时数据,但在考虑用于临床之前,需要提高更多菌种的准确性。
 
▌参考文献:
 
[1]C. Bonazzetti, et al.Risk factors for persistent bacteraemia in patients with Gram-negative bloodstream infection: a systematic review with meta-analysis.ECCMID 2023;O0041.
 
[2]S. Grillo,et al.Cloxacillin plus fosfomycin vs cloxacillin alone for methicillin-susceptible Staphylococcus aureus bacteraemia (SAFO): a randomised clinical trial.ECCMID 2023;O0037.
 
[3]F. Hamilton, et al.Therapeutic potential of IL6R blockade for the treatment of sepsis and sepsis-related death: a Mendelian randomisation study.ECCMID 2023;O0038.
 
[4]P. Harris, et al.Rapid nanopore metagenomic sequencing and predictive susceptibility testing from positive blood cultures in patients admitted to intensive care with sepsis.ECCMID 2023;O0579.
 
来源:《感染医线》
 
声 明
 
凡署名原创的文章版权属《感染医线》所有,欢迎分享、转载(开白可后台留言)。本文仅供医疗卫生专业人士了解最新医药资讯参考使用,不代表本平台观点。该等信息不能以任何方式取代专业的医疗指导,也不应被视为诊疗建议,如果该信息被用于资讯以外的目的,本站及作者不承担相关责任。
 
责任编辑:彭伟彬
相关搜索:  ECCMID 2023

发表评论

提交评论
返回
顶部