2023 Duke-ISCVID IE标准:卅载变迁,感染性心内膜炎诊断标准发生重大变化

感染医线 发表时间:2023/5/8 15:37:21

感染性心内膜炎(Infective Endocarditis,IE)是临床常见的发热原因之一。1994年发布、2000年修订的Duke标准在临床应用已经近三十年,IE的微生物学、流行病学、诊断和治疗发生了显著变化。国际心血管感染病学会(ISCVID)在此基础上发布了2023 Duke-ISCVID IE标准(点击文末“阅读原文”下载全文)。
 
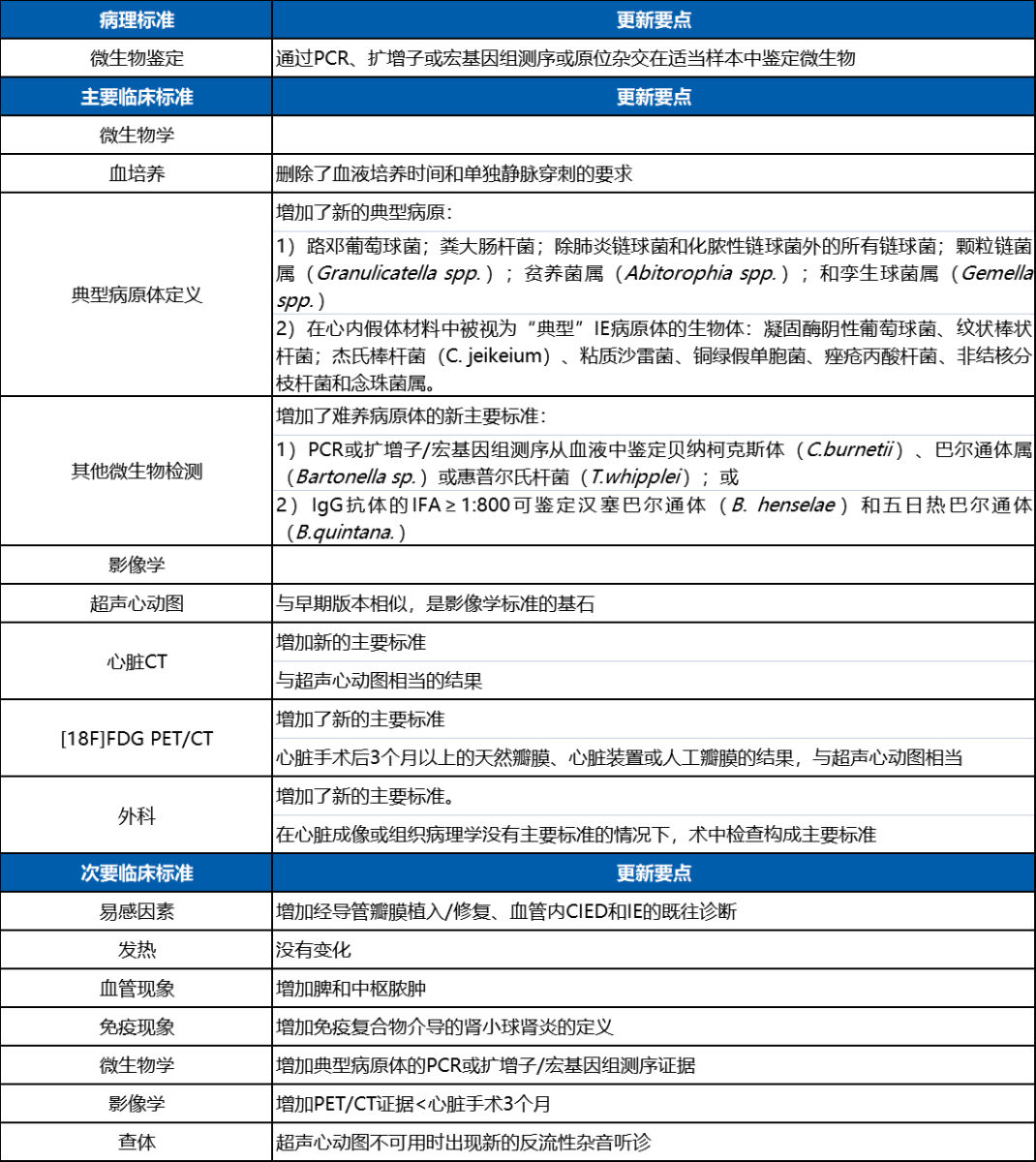
新标准将巴尔通体的酶免疫测定、PCR、扩增子/宏基因组测序、原位杂交等新型病原诊断技术,[18F]FDG PET/CT、心脏CT等新型影像学技术,以及术中检查纳入IE诊断标准中。此外,IE的“典型”微生物列表有所扩展,包括了仅存在心内假体的情况下才视为典型的病原体。取消了对血液培养时间和单独静脉穿刺的要求。最后,阐明了其他易感因素(经导管瓣膜植入、血管内心脏植入式电子设备、既往IE)。
 
 
表1. 2023 Duke-ISCVID感染性心内膜炎诊断标准
(粗体为更新内容)
 
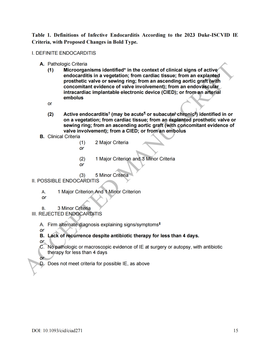
I. 明确的心内膜炎
 
A. 病理学标准
 
(1)细菌定位于具有临床心内膜炎活动征象的瓣膜疣、心脏组织、拆除的人工瓣膜或缝环、伴有瓣膜受累的升主动脉移植物、心内植入电子设备(CIED)或动脉栓塞中
 
 
(2)在瓣膜疣、心脏组织、拆除的人工瓣膜或缝环、伴有瓣膜受累的升主动脉移植物、CIED或栓塞物中检测到的活动性心内膜炎症(急性或亚急性/慢性炎症)
 
B. 临床标准
 
(1)2个主要标准
 
 
(2)1个主要标准+3个次要标准
 
 
(3)5个次要标准
 
II. 可能的心内膜炎
 
A. 1个主要标准+1个次要标准
 
 
B. 3个次要标准
 
III. 排除的心内膜炎
 
A. 固定的替代性诊断解释了症状/体征
 
 
B. 经过抗生素治疗少于4天而不存在复发
 
 
C. 经过抗生素治疗少于4天,手术或尸检未见IE的病理学或宏观证据
 
D. 不符合上述可能IE的标准。
 
 
表2. 2023 Duke-ISCVID IE诊断标准定义
(粗体为更新内容)
 
I. 主要标准
 
A.微生物主要标准
 
(1)阳性血培养  
 
i. 从两个或更多独立的血培养中分离到常见引起IE的微生物
 
 
ii. 从三个或更多独立的血培养中分离到少见或罕见引起IE的微生物
 
(2)阳性实验室检测
 
i. 来自血液的贝纳柯克斯体、巴尔通体属或惠普尔氏杆菌的PCR或其他基于核酸的技术的阳性结果 
 
 
ii. 贝纳柯克斯体抗相变I IgG抗体滴度>1:800,或单独一份血培养的检出
 
 
iii. 针对IgM和IgG抗体检测汉塞巴尔通体和五日热巴尔通体间接免疫荧光试验(IFA),IgG滴度≥1:800
 
B.影像学主要标准
 
(1)超声心动图和心脏CT
 
i. 超声心动图和/或心脏CT显示瓣膜疣、瓣膜/瓣叶穿孔、瓣膜/瓣叶动脉瘤、脓肿、假性动脉瘤或心内瘘
 
 
ii. 超声心动图显示,与既往成像相比,有明显的新瓣膜反流。已有反流的恶化或改变是不够的。
 
 
iii. 与既往成像相比,人工瓣膜出现新的部分开裂
 
(2) [18F]FDG PET/CT成像
 
涉及天然或人工瓣膜、升主动脉移植物(伴随瓣膜受累的证据)、心内装置导线或其他人工材料的异常代谢活动
 
C.外科主要标准
 
心脏手术期间通过直接检查记录的IE证据,既不是主要成像标准,也不是随后的组织学或微生物学证实
 
II. 次要标准
 
A. 易感因素
 
-既往IE病史
 
-人工瓣膜
 
-既往瓣膜修复
 
-先天性心脏病
 
-超过任何病因的轻度反流或狭窄
 
-血管内CIED
 
-肥厚型梗阻性心肌病
 
-注射用药
 
B. 发热
 
记录体温大于38.0℃(100.4℉)
 
C. 血管现象
 
动脉栓塞、脓毒性肺梗死、脑或脾脓肿、真菌性动脉瘤、颅内出血、结膜出血、Janway病变、化脓性紫癜的临床或放射学证据
 
D. 免疫现象
 
类风湿因子阳性、Osler淋巴结、Roth斑或免疫复合物介导的肾小球肾炎
 
E.微生物学证据,达不到主要标准
 
1) 符合IE但不符合主要标准要求的微生物的阳性血液培养分离株
 
2) 阳性培养、PCR或其他基于核酸的检测(扩增子或鸟枪测序、原位杂交),用于来自除心脏组织、心脏假体或栓子之外的无菌身体部位的与IE一致的生物体;或在没有额外临床或微生物支持证据的情况下,通过PCR在瓣膜或导线上发现单一皮肤细菌
 
F. 影像学标准
 
植入人工瓣膜、升主动脉移植物(伴有瓣膜受累的证据)、心内装置导线或其他人工材料后3个月内[18F]FDG PET/CT检测到的异常代谢活动
 
G. 查体标准
 
如果没有超声心动图,听诊时发现新的瓣膜反流。已有杂音的恶化或改变是不够的
 
 
2023 Duke-ISCVID IE标准的更新要点
 
 
▌来源:
 
Fowler VG, Durack DT, Selton-Suty C, et al. The 2023 Duke-ISCVID Criteria for Infective Endocarditis: Updating the Modified Duke Criteria [published online ahead of print, 2023 May 4]. Clin Infect Dis. 2023;ciad271. doi:10.1093/cid/ciad271
 
 
(来源:《感染医线》)
 
声 明
 
凡署名原创的文章版权属《感染医线》所有,欢迎分享、转载(开白可后台留言)。本文仅供医疗卫生专业人士了解最新医药资讯参考使用,不代表本平台观点。该等信息不能以任何方式取代专业的医疗指导,也不应被视为诊疗建议,如果该信息被用于资讯以外的目的,本站及作者不承担相关责任。
 
责任编辑:彭伟彬
相关搜索:  感染性心内膜炎

发表评论

提交评论
返回
顶部