CROI热评丨刘水青教授:多西环素暴露后预防可降低HIV PrEP人群细菌性STI发生率

感染医线 发表时间:2024/3/31 21:41:36

编者按:多西环素暴露后预防是针对性传播感染(STI)的一种预防措施。STI在男男性行为者(MSM)中的发生率偏高,尽管这一趋势在HIV暴露前预防(PrEP)普及之前就已显现,但PrEP可能使部分高风险人群倾向于在性接触过程中减少安全套的使用,进而可能加剧STI的感染率。因此,临床需高度重视HIV感染者STI的防控工作。在刚刚结束的2024年反转录病毒和机会性感染大会(CROI 2024)中,一项真实世界研究评估了多西环素在HIV PrEP人群中作为细菌性STI暴露后预防用药的效果。《感染医线》特邀贵州医科大学附属医院刘水青教授对该研究进行细致解读。
 
多西环素暴露后预防(PEP):临床实施后的高使用率和性传播感染(STI)的显著下降(摘要号:126)
 
背景:
 
多西环素作为细菌性性传播感染(STI)暴露后预防用药(DPEP),在临床试验中显示出较高的预防效果。本研究在旧金山的一家性健康诊所评估了HIV PrEP人群中DPEP的使用及其对衣原体(CT)、淋病(GC)和梅毒发病率的影响。
 
方法:
 
从2022年11月30日开始,在所有活跃的PrEP人群的临床访问中提供DPEP。研究纳入了接受DPEP至少30天(DPEP人群)或从未启动DPEP(非DPEP人群)且至少接受一次STI检测的PrEP参与者。“前-DPEP”期定义为2022年6月1日至2022年11月30日,“后-DPEP”期在DPEP启动后开始。STI检测包括淋病和衣原体(尿液、直肠和咽部)以及梅毒。评估DPEP前后每季度调整后的STI发病率比率(IRR),并使用混合效应泊松回归的受控间断时间序列(CITS)分析来评估干预效果。
 
结果:
 
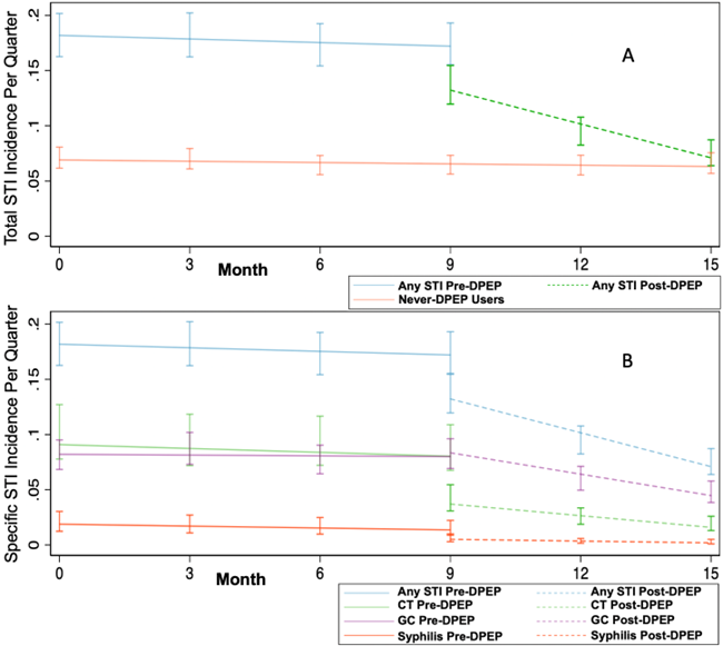
在3 081名活跃的PrEP参与者中,1 209名(39%)在研究期间接受了DPEP。接受DPEP的人来自不同的种族/民族,其中33%是白人,26%是拉丁裔,16%是亚裔,4%是黑人,大多数是顺性别的男性(90%)、同性恋(91%)和30~49岁(62%)。非DPEP人群的人口统计数据与DPEP人群相似。在DPEP使用者中,任何STI发病率从研究期间第一季度的18.1%下降到最后一个季度的7.5%。在非DPEP使用者中,任何STI发病率在第一季度和最后一个季度之间保持稳定:分别为7.0%和6.5%。
 
在DPEP前后分析中,DPEP与任何STI(IRR:0.42,95%CI:0.24~0.74,P=0.003)、衣原体(IRR:0.33,95%CI:0.23~0.46,P<0.001)和梅毒(IRR:O.22,95%CI:0.07~0.54,P=0.001)的发病率降低相关,但与淋病(IRR:0.89,95%CI:0.69~1.15,P=0.383)无关。
 
在CITS分析中,DPEP与PrEP人群中任何STI发病率的斜率显著下降相关(IRR:0.67,95%CI:0.46~0.96,P=0.03)(下图)。这种下降在衣原体(P=0.021)和淋病(P=0.003)中也是显著的,但在梅毒中的下降不显著(P=0.360)。
 
 
结论:
 
DPEP使用率高,反映了作为常规PrEP护理的一部分时的强烈需求。总体STI发病率在DPEP实施后迅速下降,表明这种干预措施在真实世界中具有很高的影响力。随着DPEP实施范围的扩大,继续评估使用、依从性和对细菌性感染的影响将是至关重要的。
 
研究点评
 
过去10多年,细菌性STI在男性同性恋、双性恋中增加明显。随着抗HIV治疗的广泛使用及有效持续的病毒抑制,HIV的传播风险明显降低,加上HIV PrEP,让人们对HIV感染的态度发生了变化,导致性接触增加和安全套使用减少,这有可能是这一HIV高风险人群细菌性STI增加的原因之一。由于这些细菌性STI没有疫苗,医学界一直在寻找预防这些疾病的方法。近年来,有不少多西环素用于细菌性STI暴露后预防的临床研究,主要观察的STI有梅毒、淋病和衣原体,显示出较好的预防效果。
 
美国旧金山性健康诊所对主动寻求PrEP的人群使用多西环素对细菌性STI进行暴露后预防(DPEP)效果临床研究,评价DPEP在PrEP使用人群中衣原体、淋病和梅毒感染产生的影响。研究期间,共有3 081例主动PrEP者,其中1 209例(39%)接受DPEP,这些人中90%为男性,男男同性恋占91%,30~49岁占62%,其中白人33%,拉丁裔26%,亚裔16%,黑人6%。没有使用DPEP(non-DPEP)人群的人口学特征与DPEP使用人群相似。对这些人群在DPEP开始前1个季度和开始后一个季度进行衣原体、淋病和梅毒检查,结果显示,使用DPEP人群任何STI发生率由DPEP使用前一季度的18.1%下降到DPEP使用后一季度的7.5%,同期non-DPEP人群任何STI的发生率不变,分别是7.0%和6.5%;在DPEP使用前后分析中,DPEP使任何STI、衣原体和梅毒的发生率下降,但淋病的发生率没有变化;使用混合效应泊松回归CITS分析评估干预效果,DPEP使任何STI、衣原体和淋病的发生率下降,但对梅毒没有影响。总的来说,这一真实世界研究证实在PrEP人群中使用DPEP可明显降低STI的发生率。
 
尽管如此,DPEP还存在一些问题,特别值得关注的是广泛使用DPEP后导致的多西环素耐药菌株的问题,以及发生多西环素耐药后可能诱发对其他抗生素耐药的风险;此外,DPEP的广泛使用还需要在多西环素的剂量和方案、目标人群评估、长期安全、成本效益和风险收益等方面得到更好、更可靠的数据。
 
▌参考文献:
 
Hyman Scott, et al. Doxycycline PEP: High Uptake and Significant Decline in STIs After Clinical Implementation. CROI 2024; abstract 126.
 
 
刘水青 教授
 
贵州医科大学附属医院感染科
 
贵州省艾滋病诊疗质量控制中心专家组组长
 
中国性病艾滋病协会专家委员会委员
 
国家卫健委艾滋病医疗专家组成员
 
中华医学会热带病与寄生虫病学会艾滋病学组委员
 
CSCO中国抗淋巴瘤联盟中西部免疫缺陷相关淋巴瘤诊疗协作组副组长
 
《中国艾滋病性病》杂志编委
 
《AIDS》中文版编委
 
《临床感染杂志》中文版编委
 
2009年全国医药卫生系统先进个人,
 
2013年全国艾滋病防治工作先进个人
 
参与艾滋病十一五、十三五多项研究。
 
发表艾滋病相关文章30余篇。
 
来源:感染医线
 
声 明
 
凡署名原创的文章版权属《感染医线》所有,欢迎分享、转载(开白可后台留言)。本文仅供医疗卫生专业人士了解最新医药资讯参考使用,不代表本平台观点。该等信息不能以任何方式取代专业的医疗指导,也不应被视为诊疗建议,如果该信息被用于资讯以外的目的,本站及作者不承担相关责任。
 
责任编辑:彭伟彬
相关搜索:  HIV

发表评论

提交评论
返回
顶部