APACC中国之声丨张福杰教授:国产抗艾新药艾诺米替三期临床研究结果优异

感染医线 发表时间:2024/6/28 17:05:59

 
 
编者按:近日,作为亚太地区最有影响力的艾滋病科学大会,第九届亚太艾滋病与合并感染大会(APACC 2024)在中国香港顺利召开。本次大会旨在提供一个专注于亚太地区艾滋病领域发展、问题和需求的科学平台。2024年6月28日上午,我国首都医科大学附属北京地坛医院张福杰教授特邀进行专题报告,主题为“艾诺米替经治转换Ⅲ期临床试验(SPRINT研究)的48周结果”。张福杰教授团队主导的此项研究,是全球首项非核苷逆转录酶抑制剂(NNRTI)和整合酶抑制剂(INSTI)进行头对头比较的RCT临床研究,结果表明,国产抗艾新药——艾诺米替片(复邦德®,江苏艾迪药业),在经治HIV-1成人转换治疗中,病毒抑制稳定,疗效非劣于艾考恩丙替片(捷夫康®,吉利德科学),并且在血脂代谢等心血管代谢安全性方面有额外获益。
 
研究背景
 
据联合国艾滋病规划署(UNAIDS)估计,截至2022年底,全球现存活HIV人群3900万例,亚太地区约有650万例。2022年,全球新发艾滋病毒感染主要出现在东部和南部非洲以及亚太地区,但既往的大型临床试验中,都没有包含大量亚洲参与者。目前国际各大临床指南广泛推荐以INSTI为基础的抗病毒疗法作为一线治疗方案,而一些研究显示,在开始基于INSTI的抗病毒治疗后,亚洲HIV人群体重增加显著、代谢综合征风险升高,HIV人群迫切需要在代谢综合征安全性方面具有临床优势的新型疗法。
 
研究方法
 
这项随机双盲对照多中心三期临床研究,比较了以国产新一代NNRTI艾诺韦林为基础的艾诺米替片与以INSTI艾维雷韦为基础的艾考恩丙替片,治疗经治获得病毒学抑制HIV-1成人的有效性和安全性。762名HIV成人入组后分别接受艾诺米替片(每片含艾诺韦林150 mg,拉米夫定300 mg和富马酸替诺福韦二吡呋酯300 mg)或艾考恩丙替组(每片含艾维雷韦150 mg,考比司他150 mg,恩曲他滨200 mg和丙酚替诺福韦10 mg)治疗,为期96周。主要疗效终点为治疗48周时,艾诺米替组HIV-1 RNA水平≥50拷贝/mL的受试者百分比不劣于艾考恩丙替组,非劣效界值为4%。完成48周双盲治疗后进入为期48周的开放期研究,所有受试者的治疗方案改为艾诺米替片。
 
研究结果
 
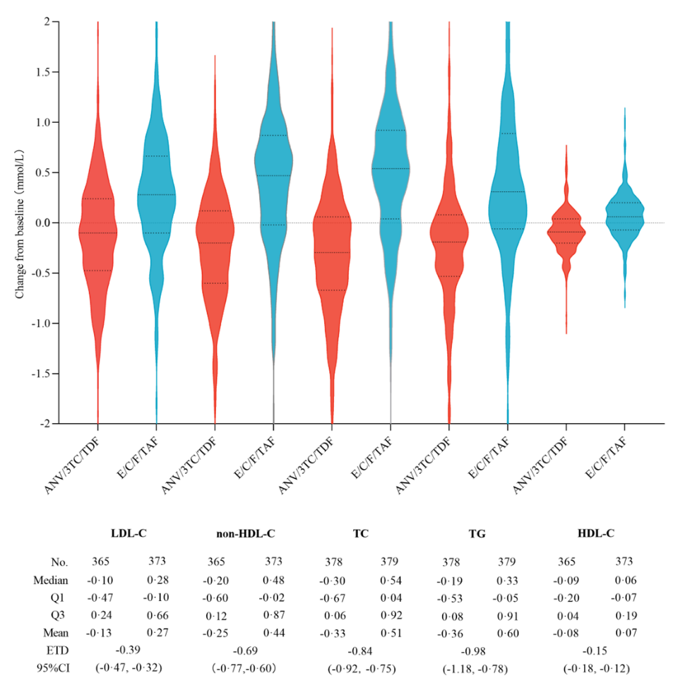
张福杰教授在本次大会上公布了48周研究数据。治疗48周时,艾诺米替组和艾考恩丙替组分别有7例(1.8%)和6例(1.6%)HIV-1 RNA≥50拷贝/mL(包括时间窗内无病毒学数据),经基线校正后百分比差为0.3%(95%CI:-1.6~2.1),达成预设非劣效。48周时,艾诺米替组自基线起体重增幅小于艾考恩丙替组,且具有统计学意义(最小二乘平均值,1.16 和 2.05 kg,估计治疗差异 [ETD] -0.90 kg,95%CI:-1.43~-0.37);血脂谱自基线起变化显示,艾诺米替较艾考恩丙替更为友好,低密度脂蛋白胆固醇(LDL-C)ETD为-0.39 mmol/L(95%CI: -0.47~-0.32)。
 
△与基线相比,两组患者的LDL-C、non-HDL-C、TC、TG、HDL-C变化
 
研究结论
 
此项研究支持艾诺米替用于既往获得病毒学抑制的HIV人群转换治疗,并且在血脂代谢等心血管代谢安全性方面有额外获益。
 
此次张福杰教授团队的研究结果入选APACC大会口头报告,不仅体现了艾诺米替和SPRINT研究在亚太范围内的科学影响力,也代表了亚太抗艾学术界对中国抗艾创新药临床研究科学性和合规性的认可,书写了国产创新药走出国门的新篇章,实乃中国之光!
 
关于国产抗艾新药艾诺韦林片(艾邦德®)和艾诺米替片(复邦德®
 
艾诺韦林片2021年6月获批上市,是中国首个获批上市的治疗HIV-1感染者的原研口服1类新药。同年,《中国艾滋病诊疗指南(2021版)》将艾诺韦林被正式纳入指南治疗方案目录。艾诺米替片2022年12月获批上市,是中国首个具有自主知识产权的三联单片复方抗HIV-1感染1类新药,在艾诺韦林的基础上加入富马酸替诺福韦二吡呋酯和拉米夫定组成的复方制剂。
 
关于SPRINT研究
 
SPRINT研究是一项多中心、随机、双盲双模拟、阳性对照、平行分组的Ⅲ期临床试验,主要评估复邦德®对比艾考恩丙替治疗经治获得病毒学抑制HIV-1成人的有效性和安全性。此研究纳入762例经一种NNRTI联合两种NRTIs治疗至少12个月的HIV成人,入组后分别接受复邦德®和艾考恩丙替治疗,为期96周。
 
▌参考文献:
 
Zhang F, Wu H, Ma P, et al. Noninferior efficacy, reduced weight gain, and improved lipid metabolism of switch to ainuovirine- versus boosted elvitegravir-based regimen in virologically suppressed people living with human immunodeficient virus 1: the 48-week results of the SPRIN. APACC 2024; Oral Abstract 7.
 
 
张福杰 博士
 
首都医科大学艾滋病临床和研究中心主任,教授,博士生导师
 
世界卫生组织(WHO)耐药委员会委员,国家卫健委艾滋病专家组组长
 
长期从事传染病的临床、教学和科研工作,是国内最早开展艾滋病抗病毒治疗的医生;开创并领导了我国艾滋病免费抗病毒治疗,正在治疗超过106万;主持第一个获批的抗新冠肺炎病毒小分子药物阿兹呋啶的临床试验。2021年获得科技部“全国科技系统抗击新冠肺炎疫情先进个人”。
 
主持了国家“十一五”、“十二五”和“十三五”艾滋病重大专项、科技部重点研发项目和美国国立卫生研究院的多项研究,在柳叶刀等杂志发表了超过200篇有指导作用的科学论文,它引超过5390次,h-index34。以第一完成人获省部级奖等6项;河南省技术发明一等奖1项。
 
来源:《感染医线》
 
声 明
 
凡署名原创的文章版权属《感染医线》所有,欢迎分享、转载(开白可后台留言)。本文仅供医疗卫生专业人士了解最新医药资讯参考使用,不代表本平台观点。该等信息不能以任何方式取代专业的医疗指导,也不应被视为诊疗建议,如果该信息被用于资讯以外的目的,本站及作者不承担相关责任。
 
责任编辑:彭伟彬
相关搜索:  艾诺米替

发表评论

提交评论
返回
顶部