用口腔拭子快速分子诊断方法检测成人和儿童肺结核:系统综述丨深三院结核之窗

感染医线 发表时间:2024/8/30 16:55:02

编者按:世卫组织提出口腔拭子检测肺结核的建议,与传统痰液的采样方式相比,口腔拭子能在痰液获取困难的人群中使用,并有望成为主动筛查的采样方式在社区人群中使用。使用口腔拭子作为诊断肺结核的过程包括取样、处理和分析的多阶段过程。本期“深三院结核之窗”栏目中,卢水华教授团队分享了一项发表于《柳叶刀全球健康》(The Lancet Global Health)的系统综述,该综述对近年来口腔拭子诊断肺结核的文献进行了系统回顾,确定口腔拭子类型诊断准确性,并分析影响口腔拭子敏感性和特异性检测的因素,为进一步优化口腔拭子诊断提供参考。

 

研究简介

 

由结核分枝杆菌引起的结核病仍然是传染病死亡的主要原因,2022年有750万人被诊断患有结核病,其中接受结核病治疗的患者中只有63%进行了确认诊断的微生物检测。世卫组织建议使用分子快速诊断检测作为有结核病症状的成人和儿童结核病的筛查。对于痰液诊断肺结核,Xpert MTB/RIF和Xpert MTB/RIF Ultra是一种高灵敏度的分子检测方法,在可以获得标本的情况下,适用于成人和儿童。咳嗽微弱者、HIV感染者和5岁以下儿童的痰量有限,为了改善结核病检测的可及性,已提出将口腔拭子作为肺结核诊断的一种新的临床标本。世卫组织提出的口腔拭子结核病检测建议,使用口腔拭子作为临床标本诊断肺结核包括取样、处理和分析的多阶段过程。分析途径中包括使用的拭子类型、每个参与者收集的拭子数量、口腔拭子部位、样本处理细节和使用的NAAT类型,每个组成部分的差异可能导致口腔拭子诊断准确性的总体差异。口腔拭子采样具有痰液采样的潜在优势,该文章对现有的口腔拭子文献进行了系统回顾,以确定新兴样本类型诊断准确性以及影响准确性的因素,并进一步优化检测样品灵敏度。

 

图1. 口腔拭子敏感性和特异性的影响因素

 

文献筛选过程

 

2000年至2022年7月5日在8个数据库中MEDLINE、Embase、Scopus、ScienceCitationIndex、medRxiv、bioRxiv、Global Index Medicus、Google Scholar检索,检索词: ((“Mycobacterium tuberculosis” OR “tuberculosis” OR “TB” OR “pulmonary tuberculosis”) AND (“oral swab*” OR “tongue swab*” OR “buccal swab*”))获得了965条记录,删除415条重复记录,并根据题目和摘要排除了509条记录,确定了41篇全文综述。其中一篇无法获得研究的全文,也无法联系到作者,因此排除了这篇研究。最终有16份文献20篇文章符合纳入标准的报告。16篇报告的20项纳入研究在8个国家进行,包括南非(7项研究)、秘鲁(5项)、乌干达(3项)、韩国(1项)、肯尼亚(1项)、巴西(1项)、中国(1项)和摩尔 多瓦(1项)。此综述中纳入了20项研究(3083名受试者)。

 

图2. 文献筛选过程

 

成人口腔拭子分子诊断肺结核系统分析

 

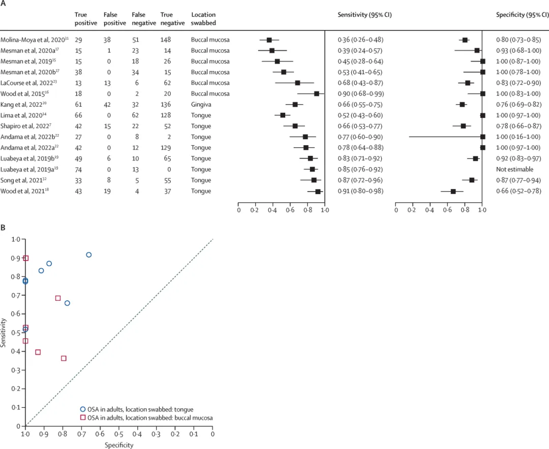
15项研究(12份报告,2223名受试者)评估了口腔拭子对成人结核病检测的作用。口腔拭子分子检测对微生物参考标准诊断成人肺结核的敏感性为36%-91%,口腔拭子的特异性为66%-100%(图3)。成人舌拭子(8项研究)的敏感性为52%-91%;成人颊拭子的敏感性(6项研究)范围为36%-90%(图3)。舌拭子敏感性最低(52%)的研究在无症状个体中进行,作为筛查实验。当用于有肺结核症状个体的实验时,成人舌拭子敏感性为66%-92%,特异性为66%-100%。评估的拭子类型包括Whatman OmniSwab(6项研究[30%])、Copan FLOQSwabs(5项研究[25%])、Whatman EasiCollect FTA(2项研究[10%])、Puritan PurFlock Ultra(2项研究[10%])、multiple拭子类型(2项研究[10%])、PrimeSwab蜂群拭子(1项研究[5%])、OmniGene Oral OMR-110 Kit(1项研究[5%])和未指定类型(1项研究[5%])。使用Copan FLOQSwabs 的研究灵敏度为66%-91%,特异性为66%-100%;Whatman的灵敏度为39%-90%,特异性为83%-100%。使用的NAATs包括PCR(14项研究[70%]),Xpert MTB/RIF Ultra(5项[25%])和结核病环介导等温扩增(TB-LAMP[5%])。PCR的灵敏度为36%-91%,特异性为66%-100%,而使用Xpert MTB/RIF Ultra的研究灵敏度为45%-78%,所有特异性均为100%。

 

图3. 成人口腔拭子的Forest图(A)和SROC图(B)

 

儿童口腔拭子分子诊断肺结核系统分析

 

五项研究(四份报告,815名受试者)评估了儿童口腔拭子的敏感性。使用微生物参考标准时,儿童的敏感性为8%-42%,使用复合参考标准时为5%-42%,特异性为93%-100%。研究在口腔拭子的位置、拭子类型、收集的拭子数量、拭子处理方法和使用的分子测试方面差异很大,这些因素都会影响口腔拭子分子检测对肺结核诊断的敏感性和特异性。鉴于此,由于研究差异太大,没有对结果进行荟萃分析。

 

图4. 儿童口腔拭子的Forest图A(复合标准)和图B(微生物学标准)

 

研究点评

 

肺结核仍然在全球范围内具有高发病率,口腔拭子诊断肺结核研究对于改进传统痰液标本诊断方法具有重要的公共卫生意义。该文章采用了系统综述的方法,从多个数据库中筛选和综合近年来的研究数据,聚焦于口腔拭子诊断肺结核,通过分析口腔拭子的敏感性和特异性,评估口腔拭子作为诊断肺结核的准确性以及分析影响其灵敏度的因素,该综述的局限是因研究的异质性,限制了对口腔拭子诊断准确性的总体评估。该综述在展望未来口腔拭子的研究中谈到,要优化样本采集方法来提高检测技术的敏感性和特异性,其次是需要开发适用于口腔拭子的标准化协议。

 

口腔拭子分子检测肺结核的系统综述中,口腔拭子的敏感性在成人中为36%-91%,在儿童中为5%-42%。患有少杆菌性疾病和参考标准不完善的儿童中,口腔拭子检测敏感性降低。当使用不同的检测方法时,口腔拭子作为临床标本的敏感性在成人和儿童中都是不同的。特异性比敏感性变化更小,大多数研究报告特异性大于90%。优化样本处理方法包括拭子类型、取样的位置和NAAT,可以提高口腔拭子的诊断准确性。与脸颊或牙龈相比,从舌头收集的样本中MTB DNA的Cq值明显较低(较强的PCR信号)。与Whatman OmniSwabs和Puritan Purflock Ultra Swabs相比,Copan floq拭子能着增加收集到的生物量从而增强灵敏度。Xpert MTB/ RIF Ultra的方案对患有结核病的成人进行的研究,证明使用Xpert MTB/RIF Ultra的口腔拭子具有高敏感性,总体灵敏度为72% (95% CI 59-83),特异性为100% (95% CI 97- 100),口腔拭子研究的共识平台协议,其标准化拭子收集、处理、储存和其他程序的程序将提高研究内部的一致性,促进研究之间的比较,并允许更准确的准确性估计。由于采样地点、拭子类型、运输和储存方法以及所使用的NAAT类型存在相当大的异质性,以及每种组合的研究数量有限,综述无法按照方案中流程图进行Meta分析。未来的研究使用标准化的方案来比较口腔拭子收集和处理的不同方面有利于不同层面的分析。

 

该综述中纳入的大多数研究在所有四个QUADAS-2领域的偏倚风险均较低。然而,评估口腔拭子准确性的方法描述不一致,这意味着一些研究缺乏样本收集、运输、储存和处理的细节,这些细节对于在没有实质性异质性的情况下重现结果很重要。这可能导致敏感性和特异性变异的未被识别的来源。特别是在许多研究中经常使用实验室PCR测定,与商业PCR测定相比,其特异性可能有很大差异。有研究表明,涂片状况和空洞疾病与更高的敏感性相关。因为目前尚无口腔拭子的标准化方案,由于缺乏标准化方案,每项研究使用不同的方法,限制了通过研究中评估的方法评估诊断准确性的能力。本综述的研究结果是基于全面的检索、严格的选择标准和标准化的数据提取。口腔拭子的敏感性在成人和儿童中都有所不同,特异性的变化小于敏感性,大多数研究报告特异性大于90%。口腔拭子分子检测可为肺结核的诊断提供准确的结果,这表明通过不断优化,口腔拭子可能是结核病检测的良好样本类型。

 

▌参考文献:

[1] E Chandler Church, Karen R Steingart, Gerard A Cangelosi, Morten Ruhwald, Mikashmi Kohli, Adrienne E Shapiro,Oral swabs with a rapid molecular diagnostic test for pulmonary tuberculosis in adults and children: a systematic review,The Lancet Global Health,Volume 12, Issue 1,2024,Pages e45-e54

 

更多精彩内容,请扫码订阅“深三院结核之窗”专栏

 

卢水华 教授

教授,主任医师,二级教授,博士生导师

国家感染性疾病临床医学研究中心副主任,深圳市第三人民医院肺病医学部主任

担任:中华医学会结核病分会候任主委,世界卫生组织全球儿童和青少年结核病工作组成员,中国防痨协会学校与儿童结核病分会主委,上海市医学会结核病学分会荣誉主委,广东省医学会结核病学分会主委,第二届国家名医获得者,上海市十佳医师,国家十三五传染病重大专项负责人,国家自然基金重大课题负责人,国家卫健委流感医疗救治专家组成员,国家自然科学基金评审专家,国家药监局新药评审专家,国家药监局医疗器械评审专家,中华医学会医疗鉴定专家,多杂志副主编、编委及审稿专家

 

长期致力于TB的发病机制、疫苗与诊断技术开发、流行病学及新药临床试验等领域的研究:深入开展大规模人群队列研究,明确我国大学生人群Mtb感染率和BCG保护效率;构建和组织实施“结核感染免疫诊断分层解决方案”,牵头完成我国40年来首个结核I类新药(EC)的临床试验及上市;积极探索TB防控“关口前移”新策略,建立和推广结核潜伏感染早期筛查和精准干预体系;针对当前TB防治瓶颈问题,提出的“一体化综合防控策略”为“End TB”贡献了中国原创理论和技术产品体系。主持包括国家“十三五”传染病重大专项、重大新药创制项目、国家自然基金重大课题在内的国家、省部和市级科研项目11项,合计研究经费超7260万元。在NEJM、Lancet、PNAS等顶级期刊发表学术论文73篇,组织撰写指南与专家共识3篇,主编专著1部。相关成果获“中国防痨协会科学技术奖”一等奖和“上海医学科技奖”三等奖,多次被WHO指南引用

 

刘华珍

国家感染性疾病临床研究中心

药效学评价平台实验员

深圳大学基础医学硕士,主要研究方向:结核病诊断技术开发和转化、抗结核药物及其作用机制;参与多项省级和国家自然基金项目

 

来源:《感染医线

声 明

凡署名原创的文章版权属《感染医线》所有,欢迎分享、转载(开白可后台留言)。本文仅供医疗卫生专业人士了解最新医药资讯参考使用,不代表本平台观点。该等信息不能以任何方式取代专业的医疗指导,也不应被视为诊疗建议,如果该信息被用于资讯以外的目的,本站及作者不承担相关责任。

责任编辑:彭伟彬
相关搜索:  肺结核

发表评论

提交评论
返回
顶部