感染医线 发表时间:2025/11/28 23:00:44
编者按:抗生素耐药性(AMR)是全球公共卫生面临的严峻挑战。在大肠杆菌中,耐药性主要由获得性抗生素耐药基因(ARGs)或核心染色体基因的点突变所介导。尽管全基因组测序(WGS)为快速检测AMR提供了巨大潜力,但当前基于基因型预测表型(如最低抑菌浓度,MIC)的能力仍受限于对特定基因如何定量影响MIC的理解不足。近期,The Lancet Microbe上发表的一项大型观察性研究,深入探讨了如何利用多因素区间回归模型,量化特定ARGs和突变对大肠杆菌MIC的独立效应,从而为耐药性监测和临床预测提供了更精确、可解释的新工具,丰富了现有耐药基因数据库的实用价值,对临床抗生素合理使用具有重要指导意义。

01
研究方法
本观察性研究分析了一组来自英国牛津郡的人源尿路或血流感染的大肠杆菌分离株,这些菌株均关联了全基因组测序数据和MIC数据。研究者采用多因素区间回归模型,在调整和不调整种群结构的情况下,估算了美国国家生物技术信息中心AMRFinder数据库中抗生素耐药基因(ARGs)及相关突变的获得与特定抗生素MIC变化之间的关联(含95%CI)。随后,通过留一法交叉验证测试了这些模型预测MIC值及二元耐药/敏感表型的能力。
02
研究结果
(一)菌株耐药特征与基因关联
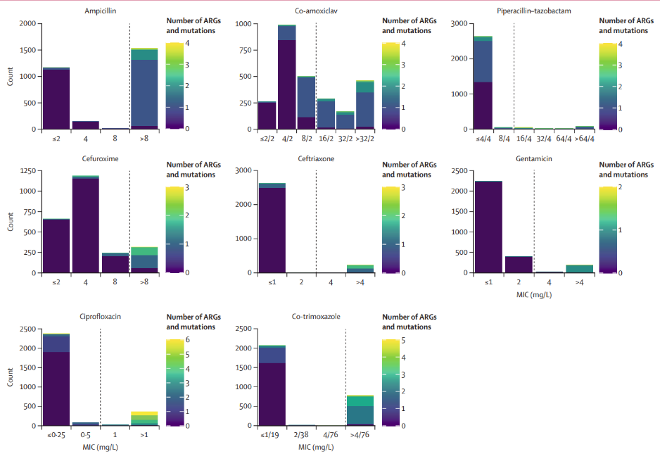
在2875株菌株中,2871株具有至少一种抗生素的测序数据和敏感性数据。耐药率方面,氨苄西林最高(53%),其次是复方新诺明(27%)和复方阿莫西林(36%),头孢曲松(8%)和庆大霉素(8%)耐药率较低(图1)。研究共鉴定出106个基因和41种突变变体,形成111种出现≥10次的基因-抗生素或突变-抗生素组合。

图1. 8种抗生素的MIC分布及相关ARGs和突变的数量
多因素回归分析显示,89种(80%)组合与耐药性存在推定关联,65种(59%)存在明确关联,27种(24%)具有推定耐药赋予作用,22种(20%)具有明确耐药赋予作用。种群结构调整对模型估计结果影响较小,表明ARGs的独立效应较为稳定。
以头孢曲松为例,24种与头孢菌素耐药相关的基因中,仅blaCTX-M-15、blaCTX-M-27和blaCTX-M-14单独存在时即可导致MIC超过EUCAST折点,而ampC 42C→T突变仅引起折点下MIC升高。庆大霉素相关的3种ARGs(aac(3)-IId、aac(3)-IIe、ant(2ʺ)-Ia)均具有独立耐药赋予作用,其中aac(3)-IId对MIC的升高效应(13.8倍)显著高于aac(3)-IIe(6.7倍)。
(二)折点下MIC变异的遗传机制
针对复方阿莫西林和头孢呋辛的敏感菌株分析显示,特定ARGs与折点下MIC升高相关,Cox-Snell伪R2分别为0.37和0.15。其中,blaTEM-1基因对复方阿莫西林的影响最大(MIC倍数变化1.91,P<0.0001),ampC 32T→A突变对头孢呋辛影响显著(2.11倍,P<0.0001)。
种群结构也与MIC存在关联,例如ST131和系统发育群B1的复方阿莫西林MIC略高,ST69和系统发育群A的MIC略低,表明除已知ARGs外,可能存在其他与菌株谱系相关的耐药机制。
(三)同类抗生素的基因效应差异
头孢菌素类抗生素的亚类分析显示,ampC启动子突变的效应具有抗生素特异性:ampC 42C→T和ampC 32T→A均与头孢呋辛耐药相关,但仅ampC 32T→A与头孢氨苄的折点上MIC升高相关;ampC 42C→T对头孢曲松仅引起折点下MIC升高,且对头孢氨苄的效应(2.91倍)显著高于头孢呋辛(1.64倍)和头孢曲松(1.38倍)。相比之下,blaCTX-M基因家族对所有头孢菌素亚类均具有独立耐药赋予作用。
喹诺酮类药物(环丙沙星、左氧氟沙星)的耐药性呈现阶梯式累积特征,通常需要3个及以上突变或ARGs才能使MIC超过EUCAST折点。单一突变或ARGs导致耐药的情况极少(99%的菌株MIC≤折点),但gyrA S83L、qnrS1和qnrB19突变菌株中,MIC>0.25 mg/L的比例显著高于其他突变(P<0.0001)。
(四)MIC预测性能
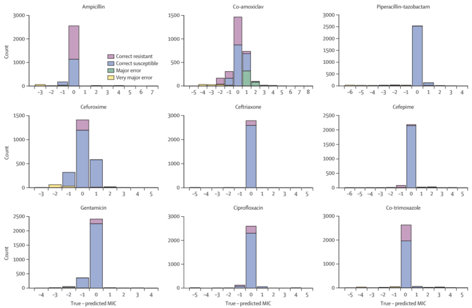
留一法交叉验证结果显示,模型对24858个MIC值的精确预测准确率为83.3%(不同抗生素范围52.9%-97.7%),95.2%的预测值与实测值相差不超过一个倍比稀释度(图2)。二元表型预测中,除复方阿莫西林外,所有抗生素的主要错误率均低于FDA规定的3%阈值,阴性预测值(94.5%-99.0%)和特异性(97.5%-99.6%)较高。

图2. 预测MIC与表型检测结果的准确性比较
然而,所有抗生素的非常主要错误率95%置信区间上限均超过FDA规定的7.5%阈值,其中哌拉西林-他唑巴坦敏感性最低(20.3%),头孢呋辛敏感性为67.3%。将blaTEM-1拷贝数纳入模型后,复方阿莫西林和哌拉西林-他唑巴坦的预测性能略有提升,MIC预测准确率分别从87.5%和94.1%提高至90.6%和94.6%。
(五)MIC对野生型菌株的识别能力
不同抗生素的MIC分布呈现异质性:氨苄西林和复方新诺明的野生型与非野生型菌株MIC分布呈明显双峰,折点下中间MIC值无法提供额外的ARGs携带信息;而头孢呋辛、复方阿莫西林和庆大霉素的折点下MIC升高与已知耐药机制相关,当前EUCAST流行病学cut off值(ECOFFs)可能将部分携带耐药基因的菌株误判为野生型(图3)。此外,25株庆大霉素MIC=4 mg/L的菌株(EUCAST判定为耐药)实际属于基因组野生型群体。

图3. MIC识别基因型野生型种群的能力
03
小结
ARGs获得对MIC独立影响的量化估算,提升了现有数据库的可解释性和实用性。与机器学习模型方法相比,本研究的估算结果在抗生素耐药表型预测中表现相当或更优,且结果更易于解读。本文所述方法可轻松应用于其他抗生素-病原体组合的研究。
▌参考文献:
Lipworth S, Chau K, Oakley S, et al. Estimating the association of antimicrobial resistance genes with minimum inhibitory concentration in Escherichia coli: an observational study. Lancet Microbe. 2025;6(11):101183. doi:10.1016/j.lanmic.2025.101183
来源:《感染医线》
声 明
凡署名原创的文章版权属《感染医线》所有,欢迎分享、转载(开白可后台留言)。本文仅供医疗卫生专业人士了解最新医药资讯参考使用,不代表本平台观点。该等信息不能以任何方式取代专业的医疗指导,也不应被视为诊疗建议,如果该信息被用于资讯以外的目的,本站及作者不承担相关责任。
