感染医线 发表时间:2025/4/17 21:07:41

编者按:HIV与结核分枝杆菌共感染是全球公共卫生的重大挑战,抗病毒治疗与抗结核治疗的复杂相互作用常导致药物选择受限、不良反应风险增加以及患者依从性下降。尽管传统三药抗病毒方案有效,但多药联用可能增加治疗负担。2025年4月13日,上海市公共卫生临床中心沈银忠教授在2025年欧洲临床微生物学与感染病学会大会(ESCMID Global 2025)报告了一项前瞻性多中心随机研究(摘要号:L0022),旨在探索双剂量多替拉韦(50 mg,每日两次)联合拉米夫定的双药方案用于HIV-结核共感染患者的可行性。在与《感染

研究简介
双剂量多替拉韦联合拉米夫定对比以依非韦伦为基础的抗反转录病毒治疗用于HIV-结核分枝杆菌共感染患者:一项多中心、开放标签、随机试验
摘要号:L0022
本研究旨在评估双剂量多替拉韦联合拉米夫定的双药抗病毒方案在治疗HIV合并结核病患者中的疗效及安全性。
本研究为一项在中国16个中心开展的随机、开放标签、平行对照试验(注册号:ChiCTR2300075493)。纳入对象为未接受过抗反转录病毒治疗的成人HIV感染者,且已启动含利福平的抗结核治疗≤2周。受试者按1:1比例随机分配至双剂量多替拉韦(50 mg,每日两次)联合拉米夫定组(2DR组)或依非韦伦(600 mg,每日一次)联合替诺福韦和拉米夫定组(3DR组),两组均在抗结核治疗开始后2周内启动抗病毒治疗。主要终点为改良意向治疗暴露组中的24周病毒学抑制(HIV-1 RNA<50 拷贝/mL)率。
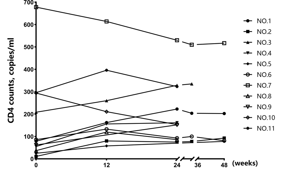
主要结果:


△双药组(左)与三药组(右)开始抗反转录病毒治疗后CD4+ T淋巴细胞计数变化趋势
结论:对于接受以利福平为基础的抗结核治疗的成人HIV感染者,双剂量多替拉韦联合拉米夫定的双药抗病毒治疗方案与依非韦伦联合替诺福韦、拉米夫定的三药方案疗效相当。这一双药方案或可为HIV相关结核病患者提供新的抗病毒治疗选择。
研究者说
01
《感染医线》:本项研究选择了双剂量多替拉韦联合拉米夫定,能否请您介绍一下确定该剂量的依据?
沈银忠教授:HIV合并结核分枝杆菌感染是临床复杂且常见的难题,二者相互作用增加了临床诊疗挑战,因此如何优化此类患者的抗病毒治疗策略是一项紧迫的研究课题。目前HIV感染的标准抗病毒治疗方案为两个核苷类反转录酶抑制剂联合第三类药物(如整合酶抑制剂)。近年来,多替拉韦(50 mg,每日一次)联合拉米夫定的双药方案已被国内外指南推荐作为优选抗病毒治疗方案之一。我们这项研究旨在明确,对于合并结核病的HIV感染者,双药方案是否同样安全有效。
然而,合并结核的HIV感染者需同时使用利福平抗结核治疗,而利福平与多替拉韦存在药物相互作用——体外研究显示利福平可降低多替拉韦血药浓度。国内外普遍认为联用利福平时多替拉韦需加倍剂量使用(50 mg,每日两次),以维持有效血药浓度。本研究选择双剂量多替拉韦(50 mg,每日两次)联合拉米夫定(每日一次)的方案,正是基于上述药代动力学证据,旨在平衡药物相互作用与疗效需求。双药方案的有效性与安全性需通过严谨的临床研究验证,剂量选择需综合考虑既往研究数据以确保患者治疗安全有效。
02
《感染医线》:利福平是强效CYP3A4诱导剂,可能降低多替拉韦血药浓度,除了增加剂量外,是否监测了患者的血药浓度以确保有效性?
沈银忠教授:本研究虽未在报告中完整呈现血药浓度相关数据,但在方案设计和试验过程中进行了相关监测分析。结果显示:对于未合并结核的HIV感染者,相当一部分使用单剂量多替拉韦(50 mg,每日一次)患者的血药浓度高于治疗窗;在合并利福平治疗的HIV-结核共感染患者中,尽管利福平通过诱导CYP3A4代谢途径使多替拉韦血药浓度降低,但其谷浓度仍稳定于有效治疗窗范围内。这一药代动力学证据从机制层面解释了双药方案的临床有效性,即剂量调整既抵消了药物相互作用的影响,又确保了抗病毒治疗作用。
03
《感染医线》:在本项研究中,双药组(2DR)和三药组(3DR)的疗效和安全性表现如何?
沈银忠教授:在疗效分析方面,双药组(2DR)与三药组(3DR)在治疗24周时的病毒学抑制率均达70%以上,与国际同类研究结果相似。两组间未观察到显著差异(P=0.637),表明双药方案的疗效非劣效于三药方案。
在安全性评估方面,多替拉韦与拉米夫定作为指南推荐药物,其安全性已获广泛验证。本研究中,双药组未出现因抗病毒药物导致治疗中断的病例,且不良反应(如皮疹、发热)主要与抗结核药物相关,与抗病毒治疗方案无直接关联。这一结果进一步支持双药方案在HIV-结核共感染人群中的安全性。
04
《感染医线》:研究中报告了3例免疫重建炎症综合征(IRIS)事件,但并未导致治疗中断。能否请您分享一下IRIS的预防与管理策略?
沈银忠教授:免疫重建炎症综合征(IRIS)是HIV感染者启动抗病毒治疗后伴随免疫功能恢复可能出现的一种临床综合征,常见于合并结核等机会性感染的患者。其发生与免疫系统重建相关,通常表现为原有感染灶的炎症反应暂时性加重,但整体病程呈良性自限性,通常无需特殊干预即可缓解。其管理要点主要包括:
05
《感染医线》:双药方案理论上可能提高依从性,但需要每日服用两次多替拉韦。实际研究中患者的服药依从性如何?



▌参考文献:
X. Le, Y. Shen, et al. Double-dose dolutegravir and lamivudine versus efavirenz-based antiretroviral therapy for patients coinfected with HIV and tuberculosis: a multicentre, open-label, randomised trial. ESCMID Global 2025; Abstract L0022.
来源:《感染医线》
声 明
凡署名原创的文章版权属《感染医线》所有,欢迎分享、转载(开白可后台留言)。本文仅供医疗卫生专业人士了解最新医药资讯参考使用,不代表本平台观点。该等信息不能以任何方式取代专业的医疗指导,也不应被视为诊疗建议,如果该信息被用于资讯以外的目的,本站及作者不承担相关责任。
