感染医线 发表时间:2025/4/21 15:19:00

编者按:第三十五届欧洲临床微生物与感染病学会年会(ESCMID Global)于当地时间4月11—15日在世界音乐之都奥地利维也纳举行。ESCMID Global作为全球微生物与感染病学领域最负盛名、影响力最为广泛的学术盛会,吸引了全球各地顶尖的专家参会,大会投稿也代表了当前全球最为前沿的研究方向。在本次大会上,中国医学科学院北京协和医院杨启文教授团队有多项研究成果入选口头报告或壁报环节,在ESCMID Global的国际学术舞台上传递了“中国好声音”。《感染
01
《感染
杨启文教授:我们一直在探索微生物与人体疾病之间的关联。过去,大家主要关注致病微生物与感染性疾病的联系,但现在我们发现,人体内的许多内生微生物实际上也与慢性疾病密切相关。因此,我们课题组目前的研究方向之一就是探讨人体内微生物与慢性疾病之间的关系。我们最近报道的研究内容是关于牙周梭杆菌如何增加肠癌风险,这项研究旨在解决这一问题。
在研究中,我们发现牙周梭杆菌可以通过分泌特定癸酸来促进肠道受损部位中性粒细胞的聚集,从而引发肠道慢性病变,最终可能导致肿瘤的发生。我们的研究从传统的感染性疾病研究思路出发,转向探索病原体与慢性疾病之间的因果关系。这表明,微生物与人类疾病的联系不应仅仅局限于传统的感染性疾病,而应扩展到更多其他疾病领域。我们希望这项研究能够成为未来肠癌早期筛查或早期干预的基础,其成果有望应用于临床一线。
多组学整合分析揭示牙周梭杆菌通过癸酸促进中性粒细胞趋化在结直肠肿瘤发生中的关键作用
摘要号:O0129
背景:结直肠癌(CRC)是全球最常见的恶性肿瘤之一。肠道微生物群的变化和免疫反应的失调与CRC的发生和发展密切相关。
方法:对53例CRC患者、35例腺瘤患者和35名健康个体的粪便样本进行宏基因组和代谢组分析,以评估肠道微生物群和代谢物的分类和功能特征。此外,对来自3例CRC组织、3例癌旁组织和3例腺瘤组织的8个样本进行单细胞RNA测序,以探索CRC中的细胞多样性和基因表达差异。通过细胞实验和小鼠实验进行进一步的功能验证。
结论:本研究指出,牙周梭杆菌产生的癸酸通过驱动中性粒细胞趋化促进结直肠肿瘤发生,为结直肠癌的发病机制提供了新的见解。
02
《感染医线》:贵团队的另外两项口头报告研究分别汇报了肺炎克雷伯菌的耐药性预测模型(摘要号:O0734)和毒力调控机制(摘要号:O0932)。能否请您简要介绍一下两项研究的主要发现?
杨启文教授:这两个研究都聚焦于肺炎克雷伯菌,这个致病菌大家比较熟悉。无论是国际上还是在中国,它都是一种非常重要的革兰阴性致病菌,在流行病学上仅次于大肠埃希菌,是第二位重要的革兰阴性病原菌。对该细菌的研究对临床来说非常重要。
我们的第一项研究利用全基因组数据来预测肺炎克雷伯菌的药敏性。我们希望通过全基因组数据,不依赖于传统的表型药敏测试,来预测肺炎克雷伯菌对我国常用抗菌药物的敏感性。如果这项研究取得突破,它将成为一个有力的工具,通过基因组结果来预测药敏。这不仅能大大缩短药敏报告的时间,还能提供更详实的信息,有望实现对肺炎克雷伯菌的精准治疗。
第二项研究则针对肺炎克雷伯菌的毒力调控基因。我们知道,细菌的耐药性和致病性是两个必须联合考虑的重要方面。耐药性和致病性研究是当前的热点问题。在我们的研究中,重点探讨了生物膜和群感效应的调控机制,这也是国际上首次发现的一些新型机制。这些机制有望为病原菌的毒力调控提供新的理解,并为中国在致病细菌的疫苗研发、防控和治疗等方面提供更广阔的思路。
基于机器学习的肺炎克雷伯菌11种抗菌药耐药性预测:来自临床NGS数据的研究
摘要号:O0734
背景:肺炎克雷伯菌(Klebsiella pneumoniae)表现出的多重耐药性(MDR)使得治疗变得复杂,并对患者构成重大威胁。早期检测抗微生物药物耐药性(AMR)至关重要,但目前的检测方法需要长达72小时,导致错过最佳治疗时机。尽管基于PCR的检测方法可以提供更快的结果,但它们仅限于检测有限数量的基因。因此,迫切需要快速且广谱的AMR检测方法。
结果:由于其出色的表现,我们最终基于五折交叉验证构建了预测模型,其中80%的数据用作训练集,20%的数据用作测试集,使用基于ARG数据的随机森林机器学习模型。我们获得了11种药物的出色WGS-AST模型,分别在CLSI、EUCAST和ECOFF标准下区分敏感/野生型和非敏感/非野生型。11种抗菌药在所有折点中的平均准确率超过86%,标准差小于2%,AUC平均值超过0.9,显示出卓越的区分能力。11种AST-WGS模型也在真实临床场景中保持了良好的性能,其中八个模型的预测准确率超过90%,三个超过80%。在此基础上,我们进一步构建了预测高、低水平抗菌药耐药性的模型,并用临床样本的宏基因组数据验证了这些模型,也显示出很高的预测准确率。
结论:机器学习与基因组测序相结合,用于预测抗菌药耐药性表型,是改善患者护理、优化抗菌药物使用以及应对全球抗菌药物耐药性挑战的强大方法。
肺炎克雷伯菌中AI-2介导的群体感应系统中新型基因及其下游功能的调控
摘要号:O0932
背景:群体感应(QS)是一种广泛存在的细菌通信机制,它在调控细菌的集体行为和特定基因表达方面起着重要作用。然而,关于肺炎克雷伯菌中AI-2群体感应系统的相关研究相对较少。
方法:采用费氏弧菌(Vibrio harveyi)BB170生物发光法测定239株肺炎克雷伯菌的AI-2水平。利用Illumina测序技术分析基因组序列并鉴定差异基因。通过CRISPR/Cas9技术对差异基因进行敲除,并对敲除后的菌株进行生物膜形成、A549细胞黏附和侵袭能力、铁载体和荚膜产生、过氧化氢(H2O2)胁迫下的生存曲线、巨噬细胞吞噬和细胞内生存能力、氧化应激相关酶活性以及血清杀菌实验的评估。
结果:在239株肺炎克雷伯菌中,分别有28株、184株和27株被归类为高、中、低AI-2产生菌株。基因组分析和基因敲除实验表明,1330、htpx和yjgh基因的缺失降低了AI-2信号。生物膜形成实验显示,与野生型菌株相比,Δ1330、Δhtpx和Δyjgh菌株形成的生物膜较弱。A549细胞实验表明,敲除菌株的黏附和侵袭能力降低。敲除菌株的铁载体产生和荚膜形成也较低。在H2O2压力下的生存曲线显示,与野生型菌株相比,敲除菌株的生长显著延迟。巨噬细胞的细胞内生存实验表明,敲除菌株的生存率较低。氧化应激相关酶分析显示,敲除菌株的超氧化物歧化酶(SOD)和羟自由基清除活性降低,同时活性氧(ROS)水平升高。血清杀菌实验表明,与野生型菌株相比,敲除菌株对补体介导的杀伤作用更为敏感。

△基因组分析、基因敲除实验、生物膜形成实验结果

△H2O2压力下的生存曲线、氧化应激相关酶分析结果

△血清杀菌实验结果
结论:1330、htpx和yjgh基因被鉴定为肺炎克雷伯菌中正向调控AI-2群体感应系统的新型基因,并且它们参与影响菌株的生物膜形成能力、A549细胞的黏附和侵袭能力、铁载体和荚膜形成、抗氧化应激反应以及对补体介导杀伤的抗性。
03
《感染医线》:在壁报环节中,您有一项研究(摘要号:P0833)通过全国性监测分析了社区获得性血流感染(CA-BSI)和医院获得性血流感染(HA-BSI)的分子流行病学差异?这些差异对临床治疗有何指导意义?
杨启文教授:我们从事临床微生物工作的医疗工作者必须牢记,我们的研究对象实际上是患者。因此,在进行临床微生物研究时,我们不仅要关注致病微生物本身,还要关注这些微生物引发的患者感染情况。在我们的一项血流感染研究中,我们将患者明确分为社区获得性血流感染(CA-BSI)和医院获得性血流感染(HA-BSI)两组。研究发现,这两种血流感染在微生物的流行病学特征、致病性、耐药性以及遗传进化方面都存在显著差异。
从这一角度出发,我们的研究从临床问题入手,将患者进行分组,进而探寻不同分组中微生物的特征性内容。通过这样的研究,我们实际上建立了一种新的研究思路:从临床问题出发,探索基础性的进化问题,最终再将研究成果应用于临床问题的解决。
我们的研究过程是从临床实践中发现问题,通过基础研究来解决这些问题,即探究具有特定特征的微生物如何引发不同类型的感染,以及针对这些不同类型的感染,应采取何种诊断和治疗策略。这一过程体现了研究的价值所在:研究源于临床需求,基于基础科学,最终服务于临床实践。
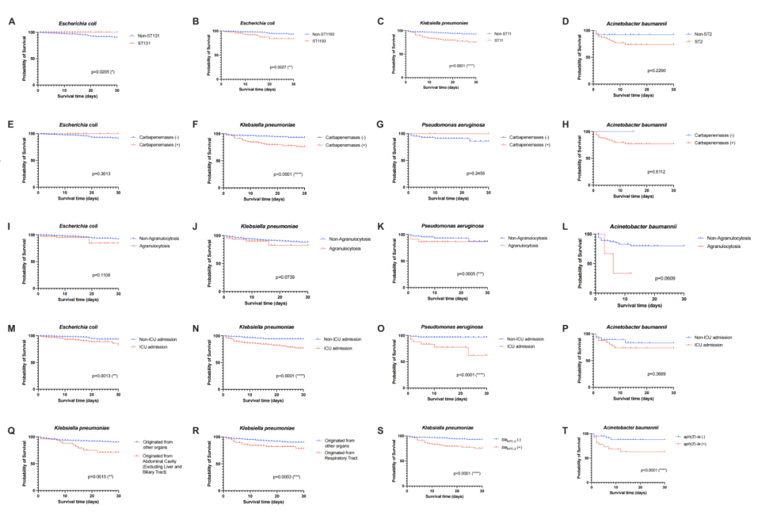
中国革兰阴性菌引起的社区获得性和医院获得性血流感染的全国基因组监测研究
摘要号:P0833
背景:由革兰阴性菌(GNB)引起的社区获得性血流感染(CA-BSI)和医院获得性血流感染(HA-BSI)在临床环境中构成了显著的风险,但这两类感染在分子流行病学特征上的差异尚未完全明确。
方法:我们对中国21所主要教学医院在2020至2021年间收集的1 934株血流感染GNB菌株进行了基因组流行病学研究。对排名前五的菌种(1 663株,包括大肠埃希菌、肺炎克雷伯菌、铜绿假单胞菌、鲍曼不动杆菌和肠杆菌属复合群)进行了深入的基因组分析。比较了CA-BSI GNB和HA-BSI GNB之间的分子特征。

△CA-BSI和HA-BSI分离株感染患者的临床症状和结局差异

△CA-BSI组和HA-BSI组主要GNB耐药基因特征

△各组大肠埃希菌、肺炎克雷伯菌、铜绿假单胞菌和鲍曼假单胞菌感染患者的30天生存率
结论:我们的研究结果强调了对GNBSI进行基因组监测的必要性,并加深了对CA-BSI和HA-BSI的分子流行病学和病因学特征的理解。
04
《感染医线》:您团队开发的耐药性预测模型(摘要号:O0734)为精准用药提供了新工具。您认为今后应如何推动这类AI模型与现有诊疗流程结合,以加速“精准用药”实践?
杨启文教授:人工智能(AI)目前是一个非常热门的概念,但我们必须认识到,基于AI的许多诊疗行为仍面临一些瓶颈问题。因此,AI的应用并不像许多人想象的那样简单——只需将一个软件与一些基础数据结合,就能完全解决临床诊疗问题。实际上,临床诊疗是一个极其复杂的过程,人体的生理和病理调控涉及成百上千个元件的精细参与。
AI或许能在一定程度上理解问题的某个层面,但我们很难期待它能够全面、系统、综合且精准地解决临床上的所有问题。因此,在AI的临床应用方面,我们呼吁加强临床知识库的建设,这一点至关重要。AI模型可以被视为一种算法或机器学习过程,但无论是算法还是机器学习,都需要一个精准的知识库作为基础。如果知识库本身存在问题,那么AI学习后输出的内容也必然会有偏差。
因此,在本次大会上,我们进行了一场关于AI辅助微生物药敏的口头报告,从专业角度探讨如何构建适合AI的知识库,使其能够准确识别并有效输出解读结果。我们相信,这项研究的意义在于找到AI与临床之间的桥梁,探索出一条切实可行的解决路径。
05
《感染医线》:抗微生物药物耐药性(AMR)是全球公共卫生的重大挑战,我国已开展多年的细菌耐药性监测工作,国家药敏专委会(ChinaCAST)也正在推进中国折点的制定。您认为未来在遏制AMR的实践中,应如何进一步整合多维度策略?
杨启文教授:抗微生物药物耐药(AMR)是一个全球性的重要问题,我国也将其列为重要的国家行动计划之一。实际上,在G20杭州峰会上,我国曾提出了第一个抗微生物耐药行动计划,2022年又提出了第二个行动计划。在这些行动计划中,我国对AMR提出了非常细致且精准的要求,涵盖诊断、治疗和预防等多个层面。
AMR防控是一个综合性治理过程,需要在防控、诊断和治疗三个层面同时发力。在防控层面,我们需要开展预防工作,了解耐药菌的流行病学特征及其致病和耐药机制。在诊断层面,我们要开发新型诊断技术,以实现更精准、更快速的诊断。在治疗方面,我们需要加快抗菌药物的研发,推进抗菌药物敏感性试验的标准化以及折点的建立。
这些是我国目前亟待解决的一系列问题。因此,我们需要所有专家共同努力,通过多学科合作的模式,推动抗菌药物耐药问题的有效解决。
▌参考文献:
[1]J. Xinmiao, X. Chu, Q. Yang. Multi-omics integrated analysis revealed the key role of Fusobacterium periodonticum in colorectal tumorigenesis by decanoic acid-promoting neutrophil chemotaxis. ESCMID Global 2025; Abstract O0129.
[2]X. Jia, J. Zhang, J. Chen, Q. Yang. Machine learning-based antimicrobial resistance prediction of 11 antibiotics for Klebsiella pneumoniae from clinical NGS data. ESCMID Global 2025; Abstract O0734.
[3]X. Chu, Q. Yang. Regulation of novel genes and their downstream functions in the AI-2-mediated quorum sensing system of Klebsiella pneumoniae. ESCMID Global 2025; Abstract O0932.
[4]J. Xi, X. Jia, Q. Yang. A nationwide genomic surveillance study of Gram-negative bacteria causing community and hospital-acquired bloodstream infections in China. ESCMID Global 2025; Abstract P0833.
来源:《感染医线》
声 明
凡署名原创的文章版权属《感染医线》所有,欢迎分享、转载(开白可后台留言)。本文仅供医疗卫生专业人士了解最新医药资讯参考使用,不代表本平台观点。该等信息不能以任何方式取代专业的医疗指导,也不应被视为诊疗建议,如果该信息被用于资讯以外的目的,本站及作者不承担相关责任。
