感染医线 发表时间:2025/5/12 17:14:28
编者按:抗微生物药物耐药性(AMR)已成为威胁全球公共卫生安全的“隐形杀手”。近日,在2025年欧洲临床微生物学与感染病学会大会(ESCMID Global 2025)上公布的一项研究显示,2022年全球有超过300万儿童因AMR相关感染死亡,其中东南亚和非洲地区负担最重。这一数据不仅揭示了AMR的严峻性,更凸显了儿童群体的脆弱性——由于可用抗菌药物种类有限、重症风险高,儿童在AMR危机中首当其冲。
01
关键数据:耐药性蔓延与抗菌药物不合理使用
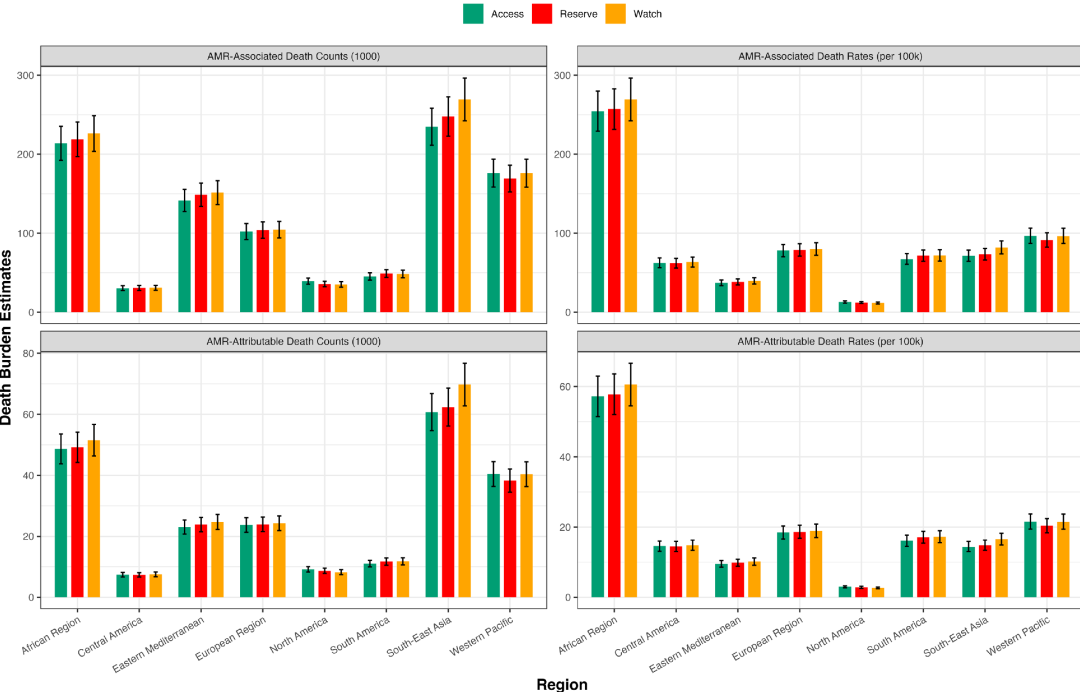
死亡负担分布
东南亚和非洲是AMR相关死亡的重灾区,2022年分别有75.2万和65.9万儿童被夺去生命。
在全球范围内,约200万儿童死亡与“谨慎使用”(Watch)和“保留使用”(Reserve)类抗菌药物的使用直接相关。

△2022年世卫组织各地区与耐药性相关和可归因于耐药性的估计死亡负担
耐药性升高
氨苄西林与庆大霉素的联合耐药率在部分国家已超50%(如肯尼亚67%、乌干达50%、印度43%),而这两种药物是婴儿及儿童脓毒症的标准治疗方案。

△2022年全球氨苄西林与庆大霉素的联合耐药情况
大肠埃希菌对“可广泛使用”(Access)类抗菌药物的耐药率已达30%,肺炎克雷伯菌和阴沟肠杆菌对“谨慎使用”和“保留使用”类药物的耐药性持续上升。

△全球主要感染性疾病的AWaRe耐药模式(2004~2022年)
抗菌药物使用趋势
2019~2022年,东南亚“谨慎使用”类药物使用量增加160%,非洲“保留使用”类药物使用量增长125%。
尽管“保留使用”类药物使用总量仍较低,但其在非洲和东地中海地区的使用增幅分别达120%和400%,可能加速耐药性发展。

△世界卫生组织各地区AWaRe抗菌药物使用率和耐药性增长率(2022年与2019年对比)
02
专家警示:耐药性加剧的长期风险
研究合著者Joseph Harwell教授指出:“尽管‘谨慎使用’和‘保留使用’类药物的使用是对耐药菌感染的应急响应,但从长期来看,这将进一步压缩治疗选择空间。”
耐药性螺旋上升:细菌一旦对最后一道防线的“保留类”药物产生耐药性,多重耐药菌感染将无药可治。
医疗系统的结构性缺陷:低收入国家的医院拥挤、卫生条件薄弱、感染防控不足,加之诊断工具缺乏,导致抗菌药物不合理使用普遍。
03
行动呼吁:全球协作与本土化策略
全球层面
采用One Health策略,整合人类、动物和环境健康数据,建立成本效益高的耐药性监测体系。
推动儿童抗微生物药物的研发,填补儿童用药的“数据鸿沟”。
国家与地区层面
强制推行抗微生物药物管理计划:所有儿科医疗机构需制定抗微生物药物使用规范,减少非必要处方。
完善耐药监测:按年龄细分数据,识别儿童特有的耐药机制;通过国家指南将监测结果转化为临床实践。
▌参考文献:
[1] Yanhong Jessika Hu, Joseph I Harwell. Global Trends and Impact of Antimicrobial Resistance in Paediatric Populations: An Analysis Using WHO AWaRe Classification and Priority Pathogens. ESCMID Global 2025; Abstract E0503.
[2] UNICEF UK. (n.d.). Antimicrobial Resistance: A Crisis for Children Everywhere. Available at: http://unicef.org.uk/campaign-with-us/futures-at-risk/antimicrobial-resistance-a-crisis-for-children-everywhere/
[3] National Library of Medicine. (2023). The WHO AWaRe (Access, Watch, Reserve) antibiotic book and prevention of antimicrobial resistance. Available at: https://pmc.ncbi.nlm.nih.gov/articles/PMC10042089/
[4] World Health Organization. (2022). The WHO AWaRe (Access, Watch, Reserve) antibiotic book. Available at: https://www.who.int/publications/i/item/9789240062382
[5] Over 3 million children died from AMR-related infections in 2022, major study shows. Available at: https://www.eurekalert.org/news-releases/1079367
来源:《感染医线》
声 明
凡署名原创的文章版权属《感染医线》所有,欢迎分享、转载(开白可后台留言)。本文仅供医疗卫生专业人士了解最新医药资讯参考使用,不代表本平台观点。该等信息不能以任何方式取代专业的医疗指导,也不应被视为诊疗建议,如果该信息被用于资讯以外的目的,本站及作者不承担相关责任。
