感染医线 发表时间:2025/5/9 10:09:17

编者按:欧洲临床微生物学与感染病学会大会(ESCMID Global)是全球感染和微生物学领域规模最大、影响最广的学术盛会之一,每年汇聚全球顶尖专家学者,共议耐药菌防控、抗感染治疗与精准用药的前沿进展。在2025年的大会上,复旦大学附属华山医院抗生素研究所张菁教授团队凭借其在细菌耐药机制、新型抗菌策略及药代动力学模型等领域的深入研究,多项成果入选大会口头报告和壁报交流。在与《感染医线》的采访中,张菁教授团队分享了他们在肺炎克雷伯菌耐药机制、黏菌素与舒巴坦协同作用、奈诺沙星和来法莫林的药代动力学模型构建以及万古霉素精准给药策略等方面的重要研究成果。这些成果不仅为抗菌药物的研发和临床应用提供了扎实的证据基础,也为全球感染病防控贡献了中国智慧。
知己知彼:攻克“肺克”,撼动“不动”
《感染
李婉贞博士:本研究聚焦于Ⅵ型分泌系统(T6SS)效应蛋白Tle4在ST15型肺炎克雷伯菌中的关键作用。当肺炎克雷伯菌与其他细菌相遇时,其会分泌可裂解竞争菌细胞膜的效应蛋白Tle4,使竞争菌发生裂解,从而赋予肺炎克雷伯菌在生态环境中的优势生态位。
其重要意义在于,当下细菌间相互作用是研究热点,以肠道菌群为例,借助这一发现,可以解释肺炎克雷伯菌为何能够在肠道定植。而肠道定植的肺炎克雷伯菌容易引发后续感染,所以明确T6SS效应蛋白Tle4的功能,能够阐释ST15型肺炎克雷伯菌在人体定植及感染的部分机制,为院内感染防控提供了理论依据,具有重要的公共卫生意义。
肺炎克雷伯菌Ⅵ型分泌系统效应蛋白Tle4通过破坏竞争菌细胞膜促进适应性生存
摘要号:O0738
背景:Ⅵ型分泌系统(T6SS)是细菌间竞争的关键分子武器,在适应性生存中发挥重要作用。然而T6SS在肺炎克雷伯菌这一临床重要病原菌中的功能尚不明确。近年来,ST15型肺炎克雷伯菌已成为全球优势克隆菌株,其流行性仅次于CG258(以ST11和ST258为主)。本研究旨在阐明ST15型肺炎克雷伯菌中新型T6SS脂肪酶Tle4的生物学功能及抗菌机制。
方法:通过BLASTp预测ST15型肺炎克雷伯菌的潜在T6SS效应蛋白,并以KP17-16菌株作为参考,利用Snippy v4.6.0构建了297株肺炎克雷伯菌的系统发育树。采用AlphaFold2预测Tle4-Tli4复合物的三维结构,并通过蛋白毒性实验和冷冻电子断层扫描技术初步验证Tle4的功能。
结果:本研究在ST15型肺炎克雷伯菌的T6SS(区域1)中发现了一类含α/β水解酶结构域的效应蛋白,其下游存在潜在的免疫蛋白。同源比对显示该效应蛋白属于Tle4脂肪酶家族,并在297株ST15型肺炎克雷伯菌中高度保守存在。Phyre2分析表明该蛋白与铜绿假单胞菌中Tle4的相似性为32%。AlphaFold2预测显示Tle4包含催化三联体(S257-D535-H560),其免疫蛋白Tli4可与Tle4特异性结合。异源表达实验表明Tle4在大肠埃希菌周质表达会抑制其生长。冷冻电子断层扫描结果显示,表达Tle4的大肠埃希菌细胞膜结构受损,出现局部崩解。

△Tle4-Tli4在ST15型肺炎克雷伯菌中高度保守

△Tle4-Tli4的预测结构

△Tle4异源表达抑制大肠埃希菌的生长
结论:本研究表明ST15型肺炎克雷伯菌通过Tle4靶向竞争菌的细胞膜并引发裂解,而免疫蛋白Tli4可保护肺炎克雷伯菌免受自身效应蛋白的毒性作用。该研究为肺炎克雷伯菌优势克隆的适应性生存机制提供了新的见解。
《感染医线》:您在会上汇报了黏菌素与舒巴坦协同破坏鲍曼不动杆菌代谢的研究,能否请您先介绍一下该研究的主要内容?
黄晓岚博士:研究发现,黏菌素与舒巴坦联用可产生协同杀菌作用,增强抗菌效果,且联合用药可显著影响鲍曼不动杆菌的多条代谢通路,包括精氨酸代谢、嘌呤代谢及部分中心碳循环等。从临床意义看,尽管黏菌素具有良好的抗菌活性,但存在肾毒性风险及异质性耐药现象。联合舒巴坦可降低黏菌素毒性,减少耐药风险,且能提高杀菌作用,为优化临床治疗碳青霉烯类耐药鲍曼不动杆菌感染的方案提供了理论依据。
体外代谢分析碳青霉烯类耐药鲍曼不动杆菌在人工尿液培养基与阳离子调节肉汤(CAMHB)中的代谢特征:探究黏菌素与舒巴坦联合疗法的协同效应
摘要号:P3520
背景:抗菌药物在不同感染部位的杀菌效应存在差异,而细菌可通过代谢调控适应人体内环境以实现生存。然而,药物治疗对细菌在不同感染部位杀灭效果的影响尚不明确。本研究旨在通过代谢组学方法,揭示抗菌药物作用下细菌的代谢响应及适应性机制。
方法:本研究以临床分离株AB163560为对象,分析其在人工尿液培养基(AUM)中接受黏菌素(0.25 mg/L)、舒巴坦(16 mg/L)及联合治疗后的代谢扰动。采用液相色谱-质谱联用技术进行代谢组学分析,通过单变量及多变量分析筛选变量重要性投影值(VIP)>1且P<0.05的代谢物,并进行通路分析。

△精氨酸生物合成通路示意图及AB163560菌株在AUM中单药/联合治疗组的氨基酸代谢物热图

△嘌呤代谢通路中受扰动的代谢物(a)及在AUM中舒巴坦、黏菌素单药/联合治疗组对核苷酸相关代谢物的扰动(b,log2倍数变化)

△AUM中,黏菌素与舒巴坦单药/联合治疗对脂质(a)、碳水化合物(b)相关代谢物的扰动(log2倍数变化)
结论:本研究通过解析抗菌药物与细菌的相互作用,揭示了潜在代谢靶点,为碳青霉烯类耐药鲍曼不动杆菌的临床治疗方案提供了重要参考。
《感染医线》:在应对耐药菌的策略中,“新靶点发现”和“老药新用”是两大重要方向。能否请您分享以下团队在这两方面的探索?

张菁 教授
复旦大学附属华山医院抗生素研究所
华山医院抗生素研究所临床药理团队在汪复教授与张婴元教授的带领下,长期深耕抗感染药物的临床药理学研究。从过去单一的药代动力学研究,到药动学-药效学融合贯穿抗菌新药Ⅰ-Ⅳ期临床研究,覆盖新药研发全生命周期。针对耐药菌的应对策略,团队主要从两方面展开探索:
在新靶点药物研发方向,在申办方研发的新型酶抑制剂临床药理学研究中,针对产β-内酰胺酶的耐药菌,通过体外研究明确新型酶抑制剂能够覆盖的产酶类型,结合动物药动学/药效学靶值、药敏数据、人体药动学数据进行药动学/药效学研究。在探索性临床试验中对新药进行充分的安全性评价和PK特性研究,探索β-内酰胺类药物组合后的安全性、药动学及不同配比的初步疗效,以支持确证性临床试验的剂量选择。
在老药剂量优化方向,团队针对经典抗菌药物(如多黏菌素类)的局限性(如肾毒性、异质性耐药等),通过机制研究探索联合用药策略。依据基于耐药机制的PK/PD研究,找到更优剂量与药物组合,以优化老药的临床应用,延长其临床应用寿命。
精准用药:探索个体化抗菌治疗
《感染医线》:奈诺沙星的生理药代动力学(PBPK)模型是如何建立的?能否请您介绍一下本项口头报告研究的主要成果及其对精准给药的意义?
陈胤儒博士:奈诺沙星作为我国1.1类创新药物,在国内获批用于治疗社会性获得性肺炎,相较传统喹诺酮类药物,其抗菌谱更广,能覆盖甲氧西林耐药金黄色葡萄球菌(MRSA)等耐药菌。鉴于直接获取人体靶部位PK特征较为困难,我们利用体外及动物实验结合临床研究数据构建了PBPK模型,预测人体靶部位浓度特征,为后续临床剂量推荐及合理用药提供了精准给药依据。
基于临床前与临床数据的奈诺沙星生理药代动力学模型预测呼吸系统药代动力学特征
摘要号:O0415
背景:抗菌药物在肺部感染关键部位(如上皮衬液[ELF]和气道表面液体[ASL])的药代动力学(PK)特征,对肺部感染的PK/PD分析至关重要。奈诺沙星是一种无氟喹诺酮类广谱抗菌药物,对多重耐药菌株具有活性。前期研究发现,其活性转运由P-糖蛋白(P-gp)介导。本研究开发并验证了一种基于生理药代动力学(PBPK)模型,用于预测奈诺沙星在人体支气管肺组织部位的PK特征。
方法:模型框架包含两部分:基于静脉/口服给药临床数据验证的基础全身PBPK模型(PK-Sim® 12.0构建),以及纳入了主动转运等过程的支气管肺模型(MoBi® 12.0构建)。纳入主动转运等过程的过程的验证数据集包括临床数据(健康志愿者血样;肺癌患者手术中获取的ASL、肺组织及血样*)和临床前数据(体外实验数据;小鼠ELF、肺组织及血样),并采用平均折叠误差(AFE)<2的验证标准。
结果:基于PK-Sim®基础空间结构,我们在MoBi®中开发并验证了支气管肺模型。模型需纳入药物从肺细胞向ELF的主动转运及通过ELF与间质液间微孔的被动扩散过程,以保证预测的准确性。最终模型中各房室的奈诺沙星暴露量均满足AFE<2的标准。

△支气管肺PBPK模型的空间结构

△单次口服500 mg奈诺沙星后,血浆与肺组织的PK曲线对比
结论:整合临床前以及临床数据构建的支气管肺PBPK模型,为预测抗菌药物在呼吸道感染中的PK特征及精准给药提供了可靠工具。
《感染医线》:您在大会上汇报了关于模型指导的精准给药(MIPD)指导万古霉素给药的研究,能否请您介绍一下MIPD相较于传统治疗药物监测(TDM),如何通过药代模型降低万古霉素的肾毒性?
奚琳博士:万古霉素作为治疗甲氧西林耐药金黄色葡萄球菌(MRSA)感染的首要治疗药物,其临床应用常受限于肾毒性风险。传统固定剂量经验性给药方案难以满足老年、儿童、肥胖及ICU患者等特殊人群的个体化需求。尽管国内外指南推荐以药时曲线下面积(AUC)替代谷浓度作为监测指标,但AUC计算复杂,临床实施存在困难。
本研究基于前期万古霉素治疗药物监测(TDM)数据,构建群体药代动力学(PopPK)模型,搭建MIPD个体化用药平台。该平台结合患者年龄、性别、体重、身高及肾功能等指标推荐初始剂量,无需等待血药浓度达到稳态,首次给药后24~48小时监测血药浓度,依据浓度及采集时间计算,经贝叶斯反馈推荐调整剂量。MIPD通过精准调整万古霉素剂量,避免药物浓度过高引起的肾毒性,相较于传统TDM更加便捷、精准,有利于个体化给药,降低肾毒性风险。
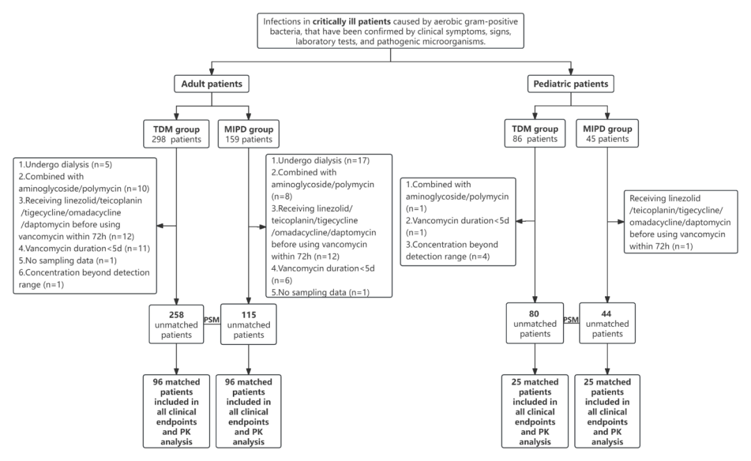
模型指导的万古霉素精准给药在革兰阳性菌感染重症患者中的应用:一项多中心队列研究
摘要号:P2614
背景:万古霉素因治疗窗窄,临床广泛采用治疗药物监测(TDM)。然而,重症患者个体间及个体内药代动力学差异显著,优化抗菌治疗面临巨大挑战。最新指南推荐基于24小时药时曲线下面积(AUC24)及模型指导的精准给药(MIPD)以实现个体化治疗。本研究旨在评估与传统TDM相比,MIPD能否降低万古霉素相关肾毒性并提升重症患者(成人与儿童)的疗效。
方法:基于既往万古霉素TDM研究数据,本研究构建了全生命周期群体药代动力学(PopPK)模型及MIPD平台,并开展前瞻性多中心队列研究(以TDM组为历史对照)。采用倾向评分匹配平衡组间差异。主要终点为肾毒性发生率(依据KDIGO标准)及临床疗效、微生物学清除率与总体疗效。
结果:TDM组纳入258例成人及80例儿童患者,MIPD组纳入115例成人及45例儿童患者。两组倾向评分匹配后比较结果显示,MIPD可显著降低成人患者肾毒性发生率(P=0.008),并显著提高临床疗效。儿童组中,两组疗效无显著差异,但MIPD组日剂量更高,AUC24水平及AUC24目标(400-600)达标率显著提升,肾毒性发生率未增加。成人MIPD组的AUC24亦显著升高。

△研究流程图

△成人与儿童患者TDM组与MIPD组的万古霉素初始谷浓度(A)、AUC24(B)及日剂量(C)对比

△基于多变量回归模型与IPTW模型的TDM组和MIPD组成人及儿童患者主要结局比较
结论:MIPD的个体化给药策略可降低万古霉素相关肾毒性、提高临床疗效,并增加治疗目标达标率,为重症患者提供更安全有效的治疗选择。
《感染医线》:您在本次大会上汇报了一项关于新型抗菌药物来法莫林在社区获得性细菌性肺炎(CABP)中的药代动力学(PK)研究,能否请您简要介绍一下该药的PK特征?
卞星晨博士:来法莫林作为首款可静脉使用的截短侧耳素类抗菌药,2019年获美国食品药品监督管理局(FDA)批准上市,2023年在国内上市,现有口服片剂和静脉注射两种剂型。华山医院抗生素研究所和临床药理中心完成了其Ⅰ期(健康受试者)和Ⅲ期(患者)临床试验。研究显示,中国人群与非中国人群在该药的PK特征方面无显著差异,基于PopPK模型的外部验证证实该模型适用于中国患者群体。
来法莫林的口服制剂生物利用度约为25%,口服后0.8~2小时达峰,呈现双峰吸收现象;分布容积约20 L,组织分布广泛;肺组织体液穿透力强,肺上皮衬液(ELF)浓度与游离血浆浓度的比值约为15,利于治疗肺部感染;蛋白结合率94%~97%,主要经CYP3A4酶代谢,受P-gp转运体影响,以粪便排泄为主,少量经尿液排泄,因此肾功能不全者无需调整剂量。
来法莫林在社区获得性细菌性肺炎中的药代动力学与肺组织渗透性模拟分析:基于Ⅲ期研究数据的探索
摘要号:P5004
背景:来法莫林是首个获FDA、EMA及NMPA批准用于治疗社区获得性细菌性肺炎(CABP)的截短侧耳素类抗生素。近期药代动力学/药效学(PK/PD)研究评估了其静脉与口服制剂对肺炎链球菌及金黄色葡萄球菌的微生物学疗效。本研究旨在模拟来法莫林的药代动力学特征,并评估其肺组织穿透性。
方法:基于CABP患者数据构建群体药代动力学(PopPK)模型,用于分析来法莫林的PK特性。通过验证的PopPK模型,模拟以下给药方案:静脉注射150 mg(每12小时一次,输注时间1/1.5/2小时)及口服600 mg(每12小时一次,空腹与进食条件下)。每种方案至少进行5000次模拟,并在原始与高血浆蛋白结合条件下分析。肺组织穿透性通过PK数据外推评估。
结果:表1与表2分别总结了静脉注射(150 mg,不同输注时间)与口服(600 mg,空腹/进食)后血浆游离来法莫林及上皮衬液(ELF)总来法莫林的PK参数。基于此,计算来法莫林的肺组织渗透率(图1)。结果显示:在高蛋白结合条件下渗透率约为15(与药品说明书一致),原始蛋白结合条件下约为5(与已发表研究一致)。

△静脉输注后第3天血浆游离来法莫林与ELF总来法莫林的药代动力学参数

△口服给药后第3天血浆游离来法莫林与ELF总来法莫林的药代动力学参数

△静脉与口服给药后来法莫林的ELF/血浆穿透比
结论:延长静脉输注时间(1/1.5小时至2小时)或口服给药(空腹/进食)均能实现相似的药物暴露。与其他抗菌药物相比,来法莫林在ELF中穿透率显著更高,达峰时间短,肺组织体液穿透性优异。药物的靶组织渗透率与浓度是抗感染疗效的关键决定因素。来法莫林良好的肺穿透性为其治疗肺部感染提供了临床优势,有望为患者带来更大获益。
《感染医线》:PBPK和PopPK模型在抗菌药物研发中扮演着怎样的角色?二者如何推动精准医学从理论走向临床?

张菁 教授
复旦大学附属华山医院抗生素研究所
抗菌药物临床药理学聚焦患者、细菌与药物之间的关系。通过抗菌药物的PK/PD研究,可以明确药物在人体的目标适应证,如腹腔感染、血流感染或尿路感染等,并针对特定细菌制定最佳给药方案。基于模型的药物研发利用收集到的采样数据构建模型,分析影响药代参数的因素(如肝功能、肾功能或年龄等),从而获得患者个体的药代参数(如Cmax和AUC)。结合患者的药敏结果,可实现精准的个体化剂量调整,与传统说明书固定剂量相比更为精准。
近年来,PBPK模型和PopPK模型在抗菌药物研发中发挥了重要作用。PBPK模型基于临床前数据,可描述药物在人体各组织的分布情况,评估不同人群中的暴露量差异。例如,在奈诺沙星等创新药的研发中,由于缺乏中国人群的相关数据,PBPK模型可以用于确定适合中国患者的剂量,并在Ⅰ、Ⅱ、Ⅲ期临床试验中探索和优化剂量方案。这是首个基于PBPK模型研究的中国创新抗菌药物。
此外,PopPK模型可用于分析国外抗菌药物引入中国后的适用性。通过将国外模型与中国患者数据相结合,分析中国与非中国人群的PK特征否存在种族差异,从而辅助完成桥接研究。例如,来法莫林在中国人群的药代特征与国外人群无显著差异,且药物对细菌的抗菌活性一致,因此其说明书剂量和用法能够在中国应用,以上均是基于模型分析得出的结论。
PBPK和PopPK模型的应用推动了抗菌药物研发从传统模式向基于模型的个体化精准治疗转变,为精准医学从理论走向临床提供了有力支持,促进了国内外抗菌药物临床研究的前沿进展。
国际舞台的华山答卷:中国方案与青年力量
《感染医线》:ESCMID Global是全球感染和微生物学领域规模最大、影响最广的学术会议之一,在华山抗生素所丰硕的研究成果登上了最高学术舞台的同时,能否请各位分享一下你们参加本次大会的感受体会?
李婉贞博士:本次大会的学术氛围十分浓厚,无论是壁报展示还是口头报告环节,均吸引了来自不同国家的学者积极参与讨论,提问环节的互动也颇为深入。
卞星晨博士:本次大会内容丰富,其中新加坡国立大学David Paterson教授的演讲给我留下了深刻印象。他指出,在中低收入国家,人们获取新型抗微生物药物的机会非常有限,例如新上市的β-内酰胺酶抑制剂复合制剂。这种可及性的差异也导致不同国家的药物研发策略有所不同。此外,维也纳作为艺术之都,其艺术创作的灵感氛围也让我感受到科研同样需要灵感。科研不应局限于实验室,而应走向世界,了解各国的研究前沿,从而拓宽视野、激发科研灵感。
奚琳博士:非常荣幸能够和张菁教授以及团队成员们一同参与本次在奥地利维也纳举办的ESCMID Global大会。此次参会让我接触到全球顶尖研究成果,在壁报交流环节,我不仅有机会向各国学者展示自己的研究,还学习到了其他国家青年学者的优秀成果。在会议内容方面,机器学习和人工智能在医学领域的应用给我留下了深刻印象,这启发我们可以将我们的研究与这些技术相结合,构建临床预测模型,为医学发展提供便利。同时,非常感谢大会提供的Travel Grant资助,这是对我的莫大鼓励,激励我继续为医学科研事业奋斗。
黄晓岚博士:这是我第二次参加ESCMID Global会议,感谢张菁教授给予我这个机会。这一大型国际会议的形式多样,包括壁报展示、口头报告和游戏互动等,与会者的参与度极高。我在会上与一位新加坡学者进行了交流,她分享了一项关于鲍曼不动杆菌持留菌的研究,这对我未来的研究具有一定的指导意义,也推荐大家关注这一研究。
陈胤儒博士:这是我第一次参加ESCMID Global这样大型的国际会议,也很荣幸入选口头报告环节,感谢张菁教授的支持。会议期间,我与许多外国学者进行了深入交流,感受到他们对学术研究的热情和新颖的思路,这让我在课题和模型研究领域收获了宝贵的启发。
范亚新医生:非常荣幸能够跟随张菁教授团队参加本届ESCMID Global大会。会议聚焦于临床医学、药理学和微生物学的结合,与我们研究所的理念高度契合。大会不仅为年轻学者提供了展示研究成果的平台,更促进了与国际同行的深度合作。会议内容丰富,人工智能与机器学习在个体化给药中的应用成为热点,这也与我们团队当前探索的技术方向不谋而合。我们团队也在积极开展相关研究,希望未来能带来更多最新成果。

张菁 教授
复旦大学附属华山医院抗生素研究所
本次会议我们华山医院抗生素研究所及临床药理研究中心团队共8人参会,包括首次参与大型国际会议的2名博士生和首次进行口头报告的同事。ESCMID Global在临床药理领域的关注点与我们的研究方向高度契合。我们在新药研发的PK/PD全生命周期研究方面与国际前沿保持同步。同时,我们也看到了国外在人工智能和机器学习领域的最新进展,这正是中国年轻学者需要积极加入并发挥才能的领域。ESCMID Global为年轻学者提供了展示研究成果和与国际学者交流的平台,促进了多学科交叉发展,为中国青年研究者的成长提供了宝贵机遇。




▌参考文献:
[1] W. Li, J. Zhang. The Klebsiella pneumoniae type VI secretion system effector Tle4 facilitates adaptation survival by damaging the cell membrane of competing bacteria. ESCMID Global 2025; Abstract O0738.
[2] X. Huang, X. Liu, X. Bian, J. Zhang. in vitro metabolic profiling of Acinetobacter baumannii in artificial urine medium and CAMHB: investigating the synergistic effects of colistin and sulbactam combination therapy. ESCMID Global 2025; Abstract P3520.
[3] Y. Chen, J. Zhao, J. Zhang. Physiologically Based Pharmacokinetic Modeling forNemonoxacin in Predicting the Respiratory SystemPharmacokinetic Profile: Based on Comprehensive Preclinical and Clinical Data. ESCMID Global 2025; Abstract O0415.
[4] X. Lin, F. Yaxin, Z. Huifang, et al. Model-informed precision dosing of vancomycin in critically ill patients infected with Gram-positive organisms: a multi-centre cohort study. ESCMID Global 2025; Abstract P2614.
[5] X. Bian, Y. Chen, J. Yu, W. Yang, J. Zhang. Pharmacokinetic and pulmonary tissue penetration simulation analysis of lefamulin in community-acquired bacterial pneumonia: insights from phase III study data. ESCMID Global 2025; Abstract P5004.
来源:《感染医线》
声 明
凡署名原创的文章版权属《感染医线》所有,欢迎分享、转载(开白可后台留言)。本文仅供医疗卫生专业人士了解最新医药资讯参考使用,不代表本平台观点。该等信息不能以任何方式取代专业的医疗指导,也不应被视为诊疗建议,如果该信息被用于资讯以外的目的,本站及作者不承担相关责任。
