感染医线 发表时间:2025/8/15 17:47:02
编者按:碳青霉烯耐药鲍曼不动杆菌(CRAB)感染因其多重耐药性成为临床治疗难题,仅少数抗菌药物对其保持较好的敏感性,亟需探索新型治疗方案。2024年发表于《Frontiers in Microbiology》的一项中国研究比较了新型氟环素类与替加环素对鲍曼不动杆菌的抗菌活性及耐药机制差异。本期我们特邀首都医科大学附属北京朝阳医院黄立锋教授、树兰(杭州)医院王卓轶教授、南通大学附属医院张彬教授及安徽省公共卫生临床中心叶英教授,从体外活性、耐药机制、药代动力学及临床应用等维度深度解读该研究。
研究简介
依拉环素和替加环素对对中国临床鲍曼不动杆菌分离株的抗菌活性及耐药机制的比较[1]
背景:替加环素(TGC)目前被用于治疗碳青霉烯耐药鲍曼不动杆菌(CRAB)感染,而新一代四环素类药物依拉环素(ERV)则有望成为治疗此类感染的新型治疗选择。然而,鲍曼不动杆菌对ERV和TGC的耐药机制差异尚未明确。本研究旨在比较临床鲍曼不动杆菌分离株对ERV与TGC的耐药特征及机制。
方法:研究收集了来自中国住院患者的492株分离株,包括253株CRAB和239株碳青霉烯敏感鲍曼不动杆菌(CSAB)。通过微量肉汤稀释法(BMD)测定ERV和TGC对鲍曼不动杆菌的最低抑菌浓度(MIC)。采用聚合酶链式反应(PCR)和定量PCR(qPCR)技术分别检测耐药菌株中adeB、adeG、adeJ、adeS、adeL及adeN基因的突变与表达水平,并通过体外重组实验验证ERV与TGC在鲍曼不动杆菌中的耐药机制。
结果:ERV对CRAB和CSAB菌株的MIC50(0.5 vs. 1 mg/L;0.12 vs. 0.5 mg/L)和MIC90(1 vs. 2 mg/L;0.5 vs. 1 mg/L)值均低于TGC。24株ERV和/或TGC耐药菌株被分为三组:仅ERV耐药组(n=2)、ERV和TGC双药耐药组(n=7)及仅TGC耐药组(n=15)。ST208型(75%,n=18)作为主要克隆型在三组中均有分布。

△492株鲍曼不动杆菌临床分离株的药敏分析
在仅ERV耐药组及双药耐药组中,66.7%(6/9)的菌株检测到adeS基因存在ISAba1插入;在仅TGC耐药组中,53.3%(8/15)的菌株发现adeN基因存在ISAba1插入。基因表达分析显示,仅ERV耐药组及双药耐药组的adeABC和adeRS表达显著上调,而仅TGC耐药组的adeABC和adeIJK表达显著上调且adeN表达显著降低。在ERV与TGC敏感菌株中引入含ISAba1插入的adeS基因可显著提高ERV与TGC的MIC值,并上调adeABC和adeRS表达。在adeN基因存在ISAba1插入的TGC耐药菌株中补充野生型adeN后,TGC敏感性得以恢复,同时adeIJK表达显著下调。
结论:本研究表明,ERV对鲍曼不动杆菌临床分离株的抗菌效果优于TGC。ERV耐药性与adeS基因的ISAba1插入相关,而TGC耐药性则与adeN或adeS基因的ISAba1插入相关。
专家点评
首都医科大学附属北京朝阳医院
黄立锋教授
CRAB因多重耐药性导致临床治疗选择极为有限。TGC作为CRAB感染的主要治疗药物,其耐药率逐年上升,而新一代四环素类药物ERV,具有良好的抗CRAB活性。本研究通过分析临床菌株耐药特征,为ERV的临床应用提供依据。
结果表明,ERV对CRAB和CSAB的体外活性优于TGC:对CRAB和CSAB的MIC50/MIC90值较TGC降低2~4倍,这与既往碳青霉烯耐药肺炎克雷伯菌(CRKP)相关研究结果相似。耐药菌株分布显示,仅ERV耐药菌株(n=2)少于仅TGC耐药菌株(n=15),且双药耐药菌株中ERV的MIC值低于TGC,提示ERV具有更强的抗菌效力。此外,ERV还可覆盖万古霉素耐药肠球菌(VRE)、甲氧西林耐药金黄色葡萄球菌(MRSA)和碳青霉烯耐药肠杆菌目细菌(CRE)等临床常见的耐药革兰阳性、阴性菌,以及厌氧菌和非典型病原体等,具有广谱抗菌活性。

△存在或不存在外排泵抑制剂时,ERV和TGC对双药耐药菌株的MIC
值得注意的是,尽管双药耐药菌株数量较少(n=7),但其潜在临床威胁不容忽视。尽管多黏菌素可能对ERV和/或TGC耐药CRAB菌株有活性,但存在肾毒性风险,不适合用于肾功能障碍患者。同时,对ERV和/或TGC耐药的CSAB菌株对米诺环素和多西环素的耐药率也较高,提示存在交叉耐药。本研究强调需加强耐药监测,建议临床建立定期耐药数据追踪体系,优化抗菌药物管理策略,延缓交叉耐药扩散。
树兰(杭州)医院
王卓轶教授
本研究通过分析492株临床分离的鲍曼不动杆菌(包括253株CRAB和239株CSAB),证实新一代四环素类药物ERV对鲍曼不动杆菌的抗菌活性优于TGC。研究结果显示,CRAB对ERV和TGC的耐药率分别为2.4%与5.9%,CSAB分别为1.3%与2.9%,且ERV对两类菌株的MIC90均低于TGC(CRAB: 1 vs. 2 mg/L;CSAB: 0.5 vs. 1 mg/L)。在24株对ERV和/或TGC耐药的菌株中,对双药均耐药的菌株中TGC的MIC值可达ERV的1~4倍,进一步凸显ERV的抗菌优势。耐药机制分析表明,鲍曼不动杆菌菌株adeN基因(AdeIJK 外排泵的主要调节因子)的ISAba1插入与TGC耐药密切相关。

△ERV和TGC对双药耐药菌株的MIC
该结果具有重要临床意义:ERV对CRAB和CSAB均展现出更强的体外活性及更低耐药率,为TGC疗效不佳或不耐受的患者提供了优选替代方案,尤其是TGC耐药菌株感染。临床推荐给药剂量为1 mg/kg每12小时静脉输注(60分钟),肾损伤及轻中度肝损伤患者无需调整剂量。安全性方面,ERV不良反应与其他四环素类药物相似(如输液部位反应、胃肠道症状),但肝肾功能影响低于TGC,临床应用中需监测超敏反应及艰难梭菌相关性腹泻风险。
总体而言,ERV在鲍曼不动杆菌(尤其是CRAB)感染治疗中展现出潜力,其良好的抗菌活性与安全性为临床提供了新的治疗选择,未来还需通过更多临床研究进一步验证其在真实世界的疗效与应用价值。
南通大学附属医院
张彬教授
本研究系统比较了ERV与TGC对中国临床分离鲍曼不动杆菌的抗菌活性及耐药机制。结果显示,ERV作为新型全合成氟环素类药物,凭借C7位氟原子及C9位吡咯烷酮乙酰胺基的结构修饰,增强了对抗外排泵的能力,从而有效克服四环素类常见耐药机制(如外排泵与核糖体保护)。其体外抗菌活性优势明确:对CSAB的MIC50/MIC90为0.12/0.5 mg/L,对CRAB的MIC50/MIC90为0.5/1 mg/L,活性为TGC的2~4倍。值得注意的是,ERV对仅TGC耐药菌株(MIC≥8 mg/L)仍保持良好活性(MIC:0.12~2 mg/L)。

△仅TGC耐药菌株的特征
耐药机制分析表明,两药存在差异:
2024年中国细菌耐药监测网(CHINET)数据显示,我国临床CRAB分离率达64.5%~64.7%,对β-内酰胺类/氨基糖苷类/喹诺酮类的耐药率超60%[2]。而本项研究结果显示,CRAB对ERV的耐药率仅为2.4%,且低于TGC的5.9%,提示ERV有望为CRAB感染新的治疗选择。
临床应用中,TGC肺组织分布不足,治疗CRAB所致的医院获得性肺炎/呼吸机相关肺炎(HAP/VAP)需高剂量方案(首剂200 mg+100 mg q12h维持)并与舒巴坦或多黏菌素等药物联合应用,在治疗选择时还需考虑全因死亡率的增加。ERV则凭借良好的药代动力学特征及安全性,有望成为治疗CRAB肺炎的潜力选择。此外,需关注其四环素类共性不良反应(如胃肠道反应、输液部位症状及药物相互作用),治疗中应依据药敏结果合理选用,并探索噬菌体疗法等非抗生素辅助策略以应对耐药挑战。
安徽省公共卫生临床中心
叶英教授
依拉环素作为一种新型全合成氟环素类抗菌药物,具有广谱抗菌活性,对多种多重耐药革兰阴性菌、革兰阳性菌及厌氧菌等均展现出较强的体外抗菌作用。多项研究表明,依拉环素对鲍曼不动杆菌的抗菌活性优于替加环素,主要体现在以下方面:
第一,体外抗菌活性更强。本项研究收集了492株来自住院患者的鲍曼不动杆菌临床分离株(包括253株CRAB和239株CSAB),采用BMD测定MIC值。结果显示,依拉环素对CSAB和CRAB的MIC90值分别为0.5 mg/L和1 mg/L,均低于替加环素对应的MIC90值(分别为1 mg/L和2 mg/L)。该研究还指出,在7株对两种药物均耐药的鲍曼不动杆菌中,替加环素的MIC值高于依拉环素1至4倍,进一步证实了依拉环素的体外抗菌活性优势。
2024年11月发表在《抗微生物化疗杂志》(Journal of Antimicrobial Chemotherapy)的另一项中国研究,采用BMD(参考标准)、MIC测试条法(MTS)和纸片扩散法(DD),依据国家卫生健康委临床抗微生物药物敏感性折点研究和标准制定专家委员会(ChinaCAST)的临床折点,评估了依拉环素对587株CRAB菌株的敏感性[3]。结果显示,依拉环素的敏感率在三种方法中均达95%以上(BMD法:98.13%;MTS法:97.96%;DD法:97.61%),且MTS法和DD法与BMD法的分类一致率(CA)分别达99.83%和99.49%,表明不同检测方法结果高度一致。
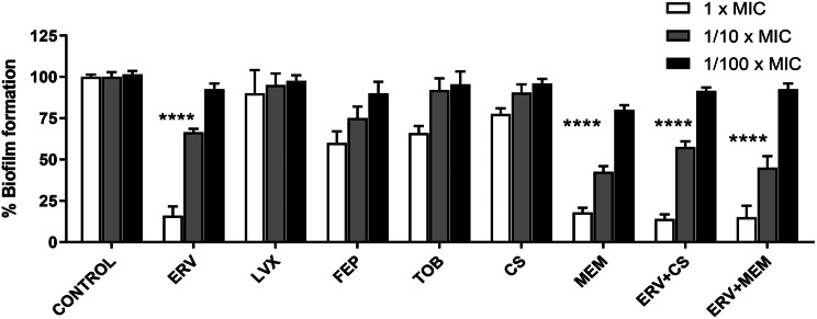
第二,生物膜抑制能力更强。依拉环素在抑制鲍曼不动杆菌生物膜形成方面表现突出。研究表明,仅单独使用一倍MIC浓度的依拉环素,即可达到84%的生物膜抑制率;当与黏菌素或美罗培南联用时,其抑制率可进一步提升至85%~86%[4]。

△抗菌药物对鲍曼不动杆菌ATCC 19,606菌株生物膜形成的抑制作用
第三,组织穿透性更优。药代动力学数据显示,依拉环素在肺泡上皮衬液及血浆中的暴露量分别是替加环素的1.56倍和2.46倍,这使其在腹腔、肺部等感染部位能够达到更高的有效药物浓度。
第四,抑制耐药突变潜力更强。依拉环素的防突变浓度(MPC)与最低抑菌浓度(MIC)的比值(MPC/MIC)为2[4],表明其在浓度仅为MIC两倍时即可有效抑制耐药突变株的生长。
第五,临床研究支持。依拉环素在多项Ⅲ期临床研究和真实世界研究中均表现出良好的疗效和安全性。
综上所述,基于现有的研究证据,依拉环素在体外抗菌活性、生物膜抑制能力、组织穿透性和抑制耐药突变潜力方面均优于替加环素,使其成为治疗多重耐药鲍曼不动杆菌感染更具前景的选择。当然,临床实际应用仍需结合药敏试验结果和患者具体情况,制定个体化的治疗方案。
参考文献:
[1] Chen X, Li Y, Lin Y, et al. Comparison of antimicrobial activities and resistance mechanisms of eravacycline and tigecycline against clinical Acinetobacter baumannii isolates in China. Front Microbiol. 2024;15:1417237. Published 2024 Sep 24. doi:10.3389/fmicb.2024.1417237
[2] 中国细菌耐药监测网(CHINET). CHINET2024年全年细菌耐药监测结果. Available at: https://www.chinets.com/Data/AntibioticDrugFast
[3] Liu Q, Li S, Wang X, Lin Y, Jiang H, Li N. Comparative evaluation of eravacycline susceptibility testing methods in 587 clinical carbapenem-resistant Acinetobacter baumannii isolates: broth microdilution, MIC test strip and disc diffusion. J Antimicrob Chemother. 2025;80(2):439-444. doi:10.1093/jac/dkae426
[4] Ataman M, Çelik BÖ. Investigation of the in vitro antimicrobial activity of eravacycline alone and in combination with various antibiotics against MDR Acinetobacter baumanni strains. BMC Microbiol. 2025;25(1):167. Published 2025 Mar 26. doi:10.1186/s12866-025-03914-8

黄立锋教授
北京朝阳医院重症医学科
科副主任、博士后、主任医师、副教授、硕士生导师
北京市科技新星,洛杉矶国家医学中心访问学者,承担国家和省部级课题12项,第一/通讯作者发表论著60余篇(SCI 18篇,最高 IF: 20)
主要学术任职:
1. 中国病理生理学会危重病医学专业委员会青年委员
2. 中国医师协会重症医学医师分会青年专家学组委员
3. 中国医学装备协会应急救治装备分会常委
4. 中国康复医学会重症呼吸学组副组长
5. 中国医师协会创伤外科医师分会创伤重症学组委员
6. 北京市中西医结合学会灾害医学专业委员会副主委
7. 北京整合医学学会重症医学分会常委
8. 北京康复医学会重症康复专业委员会常委
9. 《中国急救医学》、《中华卫生应急电子杂志》编委

王卓轶教授
副主任医师 在职博士
树兰(杭州)医院 移植重症监护室 副主任
国家创伤医学中心器官保护专业委员会委员
擅长:肝胰等多器官移植围手术期管理,术后并发症的诊治及长期随访,重症监护管理。目前已完成多篇SCI论文,主持省级课题2项,作为学术骨干曾参加国家重点基础研究发展计划(973计划)、国家高技术研究发展计划(863计划)、十一五及十二五国家科技重大专项项目、十一五及十二五国家科技支撑计划项目、国家自然科学基金、浙江省自然基金、浙江省科技厅等课题的实施。并作为主要实施者参与多项药物临床试验工作。作为编者参与编写《肝移植》第二版。

叶英教授
主任医师,教授,博士生导师
安医大一附院感染病科教研室主任
安徽省第5批学术和技术带头人
安徽省医学会细菌感染与耐药防治分会候任主任委员
安徽省预防医学会微生态学分会主任委员
安徽省医学会肝病学分会副主任委员
中华医学会结核病学分会结脑专委会委员
《中国实用内科杂志》编委
《安徽医药》常务编委
主持国家自然科学基金面上项目2项
获安徽省科学技术进步奖一、二等奖4项

张彬教授
南通大学附属医院 感染性疾病科主任,主任医师,硕导
江苏省医学会感染病学分会委员
江苏省中西医结合学会感染病专委会常委
江苏省预防医学会寄生虫专委会常委
南通市医学会感染病分会副主任委员
擅长于重症感染、不明原因发热、慢性肝病的诊治,尤其是疑难重症感染、肝病、器官功能替代支持治疗等。