感染医线 发表时间:2026/2/9 21:19:10
编者按:宫颈癌是威胁女性健康的重要恶性肿瘤,我国宫颈癌疾病负担较重,高危型人乳头瘤病毒(HR-HPV)持续感染是其核心致病因素,而HPV感染率及基因型的地域差异,直接影响宫颈癌筛查与预防策略的制定。目前我国相关研究多存在区域局限、设计异质等问题,缺乏全国大规模人群的系统性分析。一项发表于Journal of Infection的研究依托全国宫颈癌筛查项目开展大样本横断面分析,探究我国35-64岁女性HR-HPV感染特征、基因型分布及与宫颈病变的关联,其研究成果为制定年龄特异、区域靶向的宫颈癌筛查策略,优化HPV疫苗接种方案提供了重要的本土科学依据,对提升我国宫颈癌整体防控水平具有关键的实践价值。

宫颈癌是全球女性第四大常见恶性肿瘤,严重威胁女性健康。2022年全球新发病例约66.1万例,死亡34.8万例,其中94%的死亡病例集中在中低收入国家。中国作为宫颈癌负担较重的国家之一,2022年新发病例约15.07万例,死亡5.57万例,年龄标准化发病率为13.83/10万,死亡率为4.54/10万,优化人群层面的宫颈癌预防与筛查策略刻不容缓。
高危型人乳头瘤病毒(HR-HPV)持续感染是宫颈癌发生的核心病因,世界卫生组织推荐针对14种HR-HPV基因型的检测作为宫颈癌初级筛查策略。全球Meta分析显示,宫颈HPV总体感染率约为11.7%,但HR-HPV感染率及基因型分布存在显著地域差异,这种差异直接影响筛查效果与预防策略的制定。
目前中国HPV相关研究多局限于单中心、区域性调查或医院就诊人群,研究设计、年龄覆盖及诊断标准异质性较大,缺乏基于全国大规模筛查人群的基因型分布及与宫颈病变关联的系统性分析。该研究基于2021年中国13个省份全国宫颈癌筛查项目数据,对35-64岁女性开展横断面分析。HR-HPV检测由地方实验室采用中国批准的临床验证试剂完成,包括混合检测和基因型特异性检测平台,严格遵循国家标准化流程。对445 045例女性的流行病学特征进行分析,并对113 149例有完整基因分型结果的女性进行基因型分布研究。采用卡方检验比较组间差异,通过多因素logistic回归分析HR-HPV感染的相关因素。
主要研究结果
HR-HPV感染总体流行特征
中国35-64岁女性HR-HPV总体感染率为10.42%(46 386/445 045)。感染率存在显著地区差异(P<0.001):西部地区最高,中部地区次之,东北地区最低,东部地区为10.14%。
年龄分布上,HR-HPV感染率随年龄增长呈上升趋势(P<0.001),45-49岁年龄组感染率最低,60-64岁年龄组达峰值。教育水平对感染率有显著影响(χ²=71.233,P<0.001):高中或中专学历女性感染率最高(10.89%),其次为小学及以下学历(10.88%),大专及以上学历女性最低(9.94%)。汉族与少数民族女性感染率无显著差异(10.45% vs 10.33%,P=0.353)(图1)。

图1. HR-HPV感染的年龄特异性感染率
多因素logistic回归分析显示,年龄和地区是HR-HPV感染的独立影响因素:与35-39岁女性相比,50-54岁、55-59岁和60-64岁女性感染风险显著升高;与东部地区相比,中部和西部地区女性感染风险更高,东北地区女性感染风险更低。
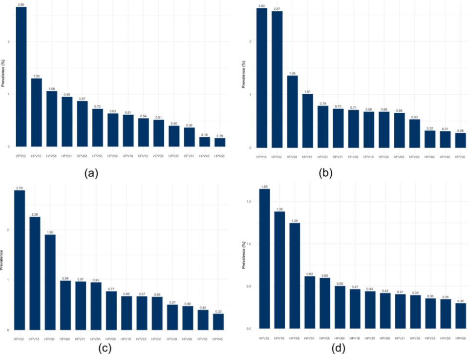
HR-HPV基因型分布特征
在113 149例有完整基因分型结果的女性中,HR-HPV阳性率为10.07%(11 395/113 149)(图2)。14种HR-HPV基因型中,HPV52(2.36%)、HPV16(1.73%)和HPV58(1.40%)为最常见基因型,三者感染率差异均有统计学意义(P<0.001),HPV52感染率显著高于HPV16和HPV58,HPV16高于HPV58。

图2. 中国女性HR-HPV基因型分布
基因型分布存在地区差异:东部、西部和东北地区均以HPV52为优势基因型(分别为2.66%、2.79%、1.65%);中部地区则以HPV16为最常见基因型(2.62%),HPV52紧随其后(2.57%)(图3)。

图3. 不同地区HR-HPV基因型分布
感染模式上,单一基因型感染占主导地位,占HR-HPV阳性病例的87.91%(10 017/11 395),多重感染占12.09%(1 378/11 395)。在多重感染中,双重感染最为常见,占79.83%(1 100/1 378);最常见的双重感染组合为HPV52/16(n=89),其次为HPV52/58(n=82)。
HR-HPV基因型与宫颈病变的关联
对1 225例HR-HPV阳性且有组织病理学结果的女性分析显示,HPV16在各等级宫颈病变中均为优势基因型:在LSIL中占31.37%,HSIL中占51.54%,微浸润癌中占75.00%,浸润性宫颈癌中占80.00%。
在HSIL中,HPV52(10.35%)和HPV58(9.69%)的占比均高于HPV18(7.27%)。HPV51、HPV56、HPV66等基因型主要见于LSIL和HSIL,在微浸润癌和浸润性宫颈癌中罕见或未检出。
对比单一感染与多重感染的病变严重程度发现,单一感染在各病变等级中均占主导:LSIL中占83.80%,HSIL中占85.53%,微浸润癌中占100%,浸润性宫颈癌中占92.31%。Fisher精确检验及单因素logistic回归分析显示,多重感染与单一感染相比,并未增加高级别宫颈病变(HSIL/AIS/微浸润癌/浸润性宫颈癌)的发生风险。
结论
中国35-64岁女性HR-HPV感染率为10.42%,存在显著地区和年龄差异,西部和中部地区感染率较高,感染率随年龄增长升至60-64岁峰值;HPV52、HPV16、HPV58为最常见基因型,HPV16在各等级宫颈病变中占主导,HPV52和HPV58在高级别病变中占比高于HPV18。这些发现为制定年龄特异性、地区针对性的宫颈癌筛查策略提供了科学依据,同时强调了推广覆盖更多基因型的HPV疫苗对提升中国宫颈癌防控效果的重要性。未来需进一步优化筛查方案,加强老年女性和中西部地区筛查覆盖,结合基因型分布特征优化疫苗接种策略,持续降低中国宫颈癌负担。
▌参考文献:
Yan, Mengke et al. Prevalence and genotype distribution of high-risk human papillomavirus infection among Chinese women aged 35–64: A national screening population-based study. Journal of Infection, Volume 0, Issue 0, 106697
来源:《感染医线》
声 明
凡署名原创的文章版权属《感染医线》所有,欢迎分享、转载(开白可后台留言)。本文仅供医疗卫生专业人士了解最新医药资讯参考使用,不代表本平台观点。该等信息不能以任何方式取代专业的医疗指导,也不应被视为诊疗建议,如果该信息被用于资讯以外的目的,本站及作者不承担相关责任。
