感染医线 发表时间:2026/3/17 17:14:02
编者按:耐药结核病的治疗仍面临药物毒性大、疗程长等挑战。利奈唑胺作为全口服短程方案的核心药物,其最佳剂量尚存争议。在第33届逆转录病毒和机会性感染大会(CROI 2026)上,ACTG A5356研究首次在耐药结核病患者中比较了高剂量与标准剂量利奈唑胺的疗效与安全性。《感染医线》特邀深圳市第三人民医院/国家感染性疾病临床医学研究中心卢水华教授进行点评。
研究简介
背景:
耐药结核病(DR-TB)的短程治疗方案中,利奈唑胺(LZD)是关键药物,但其最佳剂量尚未明确。ACTG A5356是一项Ⅱ期随机开放标签试验,评估高剂量与标准剂量LZD联合贝达喹啉(BDQ)、德拉马尼(DLM)和氯法齐明(CFZ)治疗DR-TB的疗效与安全性。
方法:
纳入年龄>18岁、合并或不合并HIV感染的DR-TB患者,随机分为A组(LZD 600 mg/日,共26周)和B组(LZD 1200 mg/日,前4周,后改为1200 mg每周3次,共22周)。所有患者均接受BDQ、DLM和CFZ。主要终点为首次稳定痰培养转阴时间、因不良事件永久停药、死亡等。
结果:
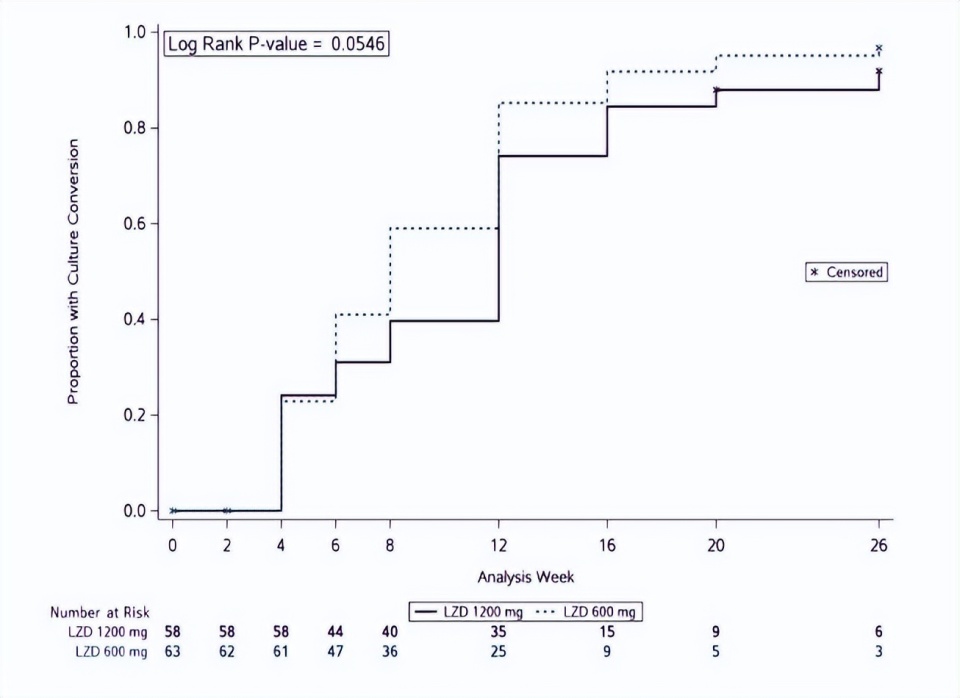
共纳入138例患者,中位年龄34岁,37%为女性,21%合并HIV感染。26周时,A组和B组痰培养转阴率分别为97%和92%,B组转阴时间更长(p=0.05)。B组提前停药率更高(22% vs 10%),良好治疗结局比例更低(53% vs 65%)。不良事件发生率两组相似,最常见为贫血(28%)、周围
结论:
两组耐受性相当,痰培养转阴率高,但高剂量LZD组转阴速度较慢,治疗结局较差,可能与更高停药率和更差的基线疾病特征有关。

△标准剂量与高剂量利奈唑胺方案治疗耐药结核病的痰培养转阴时间比较
专家点评
耐药结核病(DR-TB)的治疗始终是全球公共卫生领域的严峻挑战。利奈唑胺(LZD)作为全口服短程治疗方案的核心药物,其最佳剂量一直是学界争论的焦点。在2025年CROI大会上,ACTG A5356研究的公布,为这一问题提供了重要的新证据。
该Ⅱ期随机对照试验,头对头比较了高剂量LZD(前4周每日1200mg,后22周每周3次1200mg,B组)与标准剂量LZD(每日600mg,A组),联合贝达喹啉、德拉马尼和氯法齐明治疗DR-TB的疗效与安全性。研究共纳入来自7个国家13个中心的138例耐药肺结核患者,中位年龄34岁,其中37%为女性,21%合并HIV感染,28%为利福平耐药结核病(RR-TB),66%为耐多药结核病(MDR-TB)。研究结果显示,两组在26周时的痰培养转阴率均高达97%,且耐受性相当,因不良事件永久停药的风险无统计学差异,这再次印证了LZD在DR-TB治疗中的基石地位。
然而,研究也带来了值得深思的发现。与预期相反,高剂量组的痰培养转阴速度反而慢于标准剂量组(HR=0.75,95% CI 0.52–1.1,P=0.05),且良好治疗结局(治愈/可能治愈)比例更低(A组65% vs B组53%)。这一现象可能与高剂量组更高的早期治疗中断率以及入组时更差的基线疾病特征(如双侧/弥漫性病变、大空洞)有关。从安全性角度看,最常见的不良事件均为贫血(28%)、周围
该项研究提醒我们,在DR-TB的个体化治疗中,剂量选择不应仅基于体外抗菌活性,更应综合考虑患者的耐受性、疾病严重程度以及治疗依从性。未来的研究应聚焦于如何通过精准的剂量调整和不良事件管理,在保证疗效的同时最大化患者的治疗完成率,从而真正改善DR-TB的治疗结局。
▌参考文献:
149 Constance A. Benson, Michelle A. Kendall, Rodney Dawson et al. Novel Linezolid Dosing With Bedaquiline, Delamanid, and Clofazimine for Drug-Resistant TB Treatment.CROI 2026

卢水华 教授
二级教授,主任医师,博士生导师
现任国家感染性疾病临床医学研究中心副主任
深圳市第三人民医院肺病医学部主任
中华医学会结核病分会主任委员
世界卫生组织全球儿童与青少年结核病工作组成员
中国防痨协会学校与儿童结核病分会主任委员
广东省医学会结核病学分会主任委员
上海市医学会结核病学分会荣誉主任委员等学术职务
曾获“第二届国家名医”“上海市十佳医师”等荣誉称号
担任国家卫健委流感医疗救治专家组成员
国家自然科学基金及国家药监局新药与医疗器械评审专家
中华医学会医疗鉴定专家
多家权威期刊副主编、编委及审稿专家
主持国家重点研发计划、国家传染病重大专项、重大新药创制项目、国家自然科学基金重大及面上课题等科研项目16项,累计经费逾1.1470亿元。在 NEJM、Lancet、NC、PNAS、CID 等国际顶级期刊发表论文90余篇,主编专著3部,参与制定指南与专家共识5篇。科研成果获“中国防痨协会科学技术奖”一等奖、“上海医学科技奖”三等奖,多次被WHO指南引用。

黄嘉敏
硕士,深圳市第三人民医院肺病科医师
中国研究型医院学会结核病学专委会青年委员,深圳市医师协会结核病专委会秘书。发表文章数篇,主持及参与多项课题开展、标准撰写。
来源:《感染医线》
声 明
凡署名原创的文章版权属《感染医线》所有,欢迎分享、转载(开白可后台留言)。本文仅供医疗卫生专业人士了解最新医药资讯参考使用,不代表本平台观点。该等信息不能以任何方式取代专业的医疗指导,也不应被视为诊疗建议,如果该信息被用于资讯以外的目的,本站及作者不承担相关责任。
