感染医线 发表时间:2026/3/2 18:03:29

作者:夏牧晔 彭劼
南方医科大学南方医院
编者按:近日,第33届逆转录病毒和机会性感染大会(CROI 2026)在美国科罗拉多州丹佛市圆满召开。本届大会汇聚了全球顶尖专家学者,聚焦HIV诊疗、根治研究、合并症管理等核心议题,涌现出诸多兼具临床价值与科研突破的最新成果。《感染医线》特邀南方医科大学南方医院彭劼教授,围绕HIV感染者HBV再激活/感染、HIV感染者肝移植长期结局、高风险HIV感染者HCC主动监测早期诊断三项研究展开专业点评,深入剖析研究设计、临床意义与现存不足。这些研究为HIV合并肝病的临床诊疗、监测预防与器官移植实践提供了新的循证依据,也为HIV合并症管理的临床决策带来重要参考。
01
研究题目
接受无替诺福韦抗逆转录病毒治疗的HIV感染者的乙肝病毒再激活/感染
Hepatitis B Reactivation/Infection in People With HIV on Tenofovir-Sparing Antiretroviral Therapy(摘要号:142)
研究背景
随着越来越多的HIV感染者转为接受无替诺福韦(TFV)的抗逆转录病毒治疗(ART),乙肝病毒(HBV)再激活和新发感染的风险升高成为亟待关注的问题。
研究方法
本研究对美国艾滋病研究中心整合临床系统网络中的成年HIV感染者开展回顾性队列研究,纳入2014年5月1日后接受无TFV的ART方案且疗程≥3个月的患者。
入组标准为首次接受该治疗前的最近一次评估中满足:1)同时有乙肝表面抗原(HBsAg)和乙肝表面抗体(HBsAb)检测结果(乙肝核心抗体(抗-HBc)结果需记录但非必需);2)无活动性乙肝感染证据(HBsAg阳性或乙肝病毒血症)。
研究将HBsAg新发阳性或出现乙肝病毒血症定义为HBV再激活或新发感染,并统计相关发作情况。采用费希尔惩罚逻辑回归模型计算校正比值比及95%CI,分析年龄、性别、种族、族裔、乙肝血清学指标、拉米夫定/恩曲他滨(XTC)使用情况、HIV载量和CD4细胞计数与HBV再激活/新发感染的关联。
研究结果
共6 376例HIV感染者符合纳入标准,中位年龄47岁,女性1 330例(21%),白人2 866例(45%),黑人2 823例(44%),拉丁裔864例(14%)。队列入组时,抗-HBc阳性者1 007例(16%),抗-HBc检测结果缺失者1757例(28%)。中位随访3.4年期间,共发生24例HBV再激活/感染。
在抗-HBc阳性人群中,HBsAb阳性者的再激活率为4/858(0.5%),HBsAb阴性者为1/149(0.7%),二者无明显差异。在基线抗-HBc阴性人群中,HBsAb阴性者的推定新发感染率为6/1445(0.4%),HBsAb阳性者为6/2167(0.3%)。
发生再激活/感染时,13例(54%)患者正在接受含XTC的抗乙肝活性ART,11例(46%)接受的是无抗乙肝活性的ART。24例再激活/感染患者均在3个月内出现肝损伤(丙氨酸氨基转移酶ALT检测值>100 U/L)。黑人种族与HBV再激活/新发感染发生率显著升高相关(aOR=26.43,95%CI:2.78~251.17,P=0.004),其余变量未发现相关关联。

依据队列入组时(2014-2024年)可获得的最近乙肝血清学指标划分的HBV再激活及新发感染情况
研究结论
本研究中,接受无TFV的ART的患者发生HBV再激活或新发感染的情况较为罕见,发生率与其他临床队列研究报道结果相近。HBV再激活/感染可能引发具有临床意义的肝脏炎症发作,且在既往HBsAb阳性的患者中也可发生。临床医生为患者启动无TFV的ART时,应完善乙肝血清学全套检测(该检测常被遗漏),根据需要为患者接种乙肝疫苗或加强针,并监测患者是否出现HBV再激活/感染的潜在情况。
专家点评
优点:
该研究基于大型多中心队列(CNICS),纳入6 376例HIV感染者,随访时间长达3.4年,具有较好的代表性和统计效能。研究者还详细地区分了HBV再激活与新感染,并结合HBV血清学状态进行分析,增强了结论的可靠性。使用Firth惩罚逻辑回归处理罕见事件,方法学严谨。
临床意义:
研究显示,在非替诺福韦ART治疗下,HBV再激活/新感染的发生率仅为0.4%,且与是否使用含XTC的方案无关,提示在真实世界中该风险较低。然而,所有发生事件的患者均出现肝炎活动(ALT>100 U/L),提示临床仍需警惕。尤其黑人种族风险显著升高,需关注这一群体的监测与预防。
不足:
抗-HBc缺失率较高(28%),可能低估了既往感染者的再激活风险。此外,HBV DNA未作为常规检测指标,可能导致部分低水平再激活被漏诊。研究为回顾性设计,存在信息偏倚和未控制的混杂因素。
02
研究题目:
HIV感染者肝移植受者的长期结局:一项多中心病例对照研究
Long-Term Outcomes of Liver Transplant Recipients Living With HIV: A Multicenter Case-Control Study(摘要号:143)
研究背景
实体器官移植已在HIV感染者中得到更广泛的应用,但关于这类患者长期生存和移植物存活的相关数据十分有限,也缺乏分析其远期合并症发生情况的研究。本研究旨在对比HIV阳性与阴性肝移植受者的15年肝移植结局,并评估存活者的合并症患病率。
研究方法
本项多中心回顾性病例对照研究纳入2003-2012年西班牙4个中心的340例肝移植受者,其中85例HIV阳性,255例为匹配的HIV阴性对照者,随访至2025年7月。按1:3的比例为HIV阳性受者匹配对照者,匹配因素包括移植中心、移植日历年(±1年)、年龄(±12岁)、性别、HCV/HBV合并感染情况和肝细胞癌(HCC)患病情况。对研究数据进行描述性分析,采用Kaplan-Meier乘积极限法估算肝移植后的生存时间,通过广义对数秩检验(单因素Cox模型分析)对比HIV阳性与阴性受者的生存曲线。
研究结果
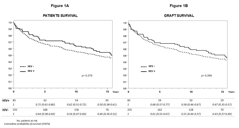
研究对象中82%为男性,中位年龄48岁(IQR:44~53岁);HIV感染者中72%为既往药物滥用者;肝移植时88%的研究对象存在活动性HCV感染。中位随访12年(IQR:3~16年)后,154例患者(45%)仍存活,HIV阳性组与阴性组的存活率无显著差异(49.4% vs. 44%,P=0.382)。HIV阳性受者15年的患者存活率和移植物存活率分别为50%(95%CI:38~61)和47%(95% CI:35~57),HIV阴性受者则分别为46%(95% CI:36~52)和43%(95% CI:37~49),组间差异无统计学意义(P>0.05)。
总体而言,患者的主要死亡原因是丙型肝炎病毒复发,且该情况多发生在丙型肝炎直接抗病毒药物应用之前;所有存活者的HCV均已被清除。两组患者的合并症(胃肠、心血管、神经、骨骼、肾脏、呼吸、代谢疾病及感染性疾病)和新发癌症的发生情况相近,仅2型糖尿病在HIV阴性受者中更为常见(24% vs. 43%,P=0.005)。末次随访时,所有HIV感染者的病毒均经抗逆转录病毒治疗得到抑制,CD4+T细胞计数中位值为330个/μL(IQR:233~509个/μL)。近年来,以整合酶链转移抑制剂为基础的ART方案应用最为普遍(76%),其中双联疗法占14%,三联疗法占62%。

HIV阳性与阴性肝移植受者的15年患者生存率和15年移植物生存率
研究结论
本项多中心研究表明,HIV阳性与阴性肝移植受者的长期结局(存活率和合并症患病率)均良好且无显著差异。上述结果支持在具备临床指征时,为HIV感染者实施肝移植手术。
专家点评
优点:
本研究是迄今为止随访时间最长(15年)、样本量较大(85例HIV阳性 vs. 255例HIV阴性)的肝移植对照研究之一。多中心设计、匹配严密(年龄、性别、病因等),增强了可比性。结果显示出HIV阳性与HIV阴性受者在生存率、并发症等方面无显著差异,具有重要参考价值。
临床意义:
研究为HIV感染者接受肝移植提供了长期安全性数据,支持其在临床适应症明确时进行移植。尤其在DAA时代,HCV复发已不再是主要死因,HIV感染者的移植预后与非感染者相当,进一步消除了移植禁忌的顾虑。
不足:
研究为回顾性设计,可能存在选择偏倚。部分数据来自DAA时代之前,HCV复发率高,可能影响早期生存率。此外,糖尿病在HIV阴性组更高,可能与免疫抑制方案差异有关,未深入分析。样本虽大,但仍来自单一国家,外推性有限。
03
研究题目:
乌干达高风险HIV感染者通过主动监测实现HCC的早期诊断
Early Detection of HCC via Active Surveillance in Persons With HIV in Uganda at High Risk(摘要号:144)
研究背景
HCC仍是全球癌症相关死亡的主要原因之一。HIV感染者罹患HCC的风险升高,这在很大程度上与慢性病毒性肝炎合并感染相关。主动监测是高风险人群HCC的标准诊疗手段,但针对HIV感染者开展该监测的实施效果和前瞻性数据十分有限,在撒哈拉以南非洲地区更是如此。本研究对比了乌干达三级医院中高风险HIV感染者接受HCC主动监测(AS)的结局与常规检出的HCC病例情况。
研究方法
本研究对345例存在显著肝纤维化(肝硬度>8千帕)或慢性HBV/HCV合并感染的HIV感染者开展前瞻性队列研究。研究对象每6个月接受一次标准化肝脏超声、肝弹性成像和血清甲胎蛋白(AFP)检测,随访最长6年,排除入组时已确诊的HCC患者。
分析研究对象的临床、病毒学和治疗相关数据,并与650例经标准诊疗(SOC)确诊的HCC病例进行对比;该650例病例来自同一家医院开展的一项基于医院的病例对照研究,研究按年龄和性别进行频数匹配招募病例和对照者,其中包含108例HIV相关HCC病例。本研究的主要终点为早期HCC的检出(肿瘤直径<3 cm)。
研究结果
345例纳入主动监测队列的HIV感染者中,272例(79.1%)合并HBV感染,29例(8.4%)合并HCV感染,73例(21.2%)存在显著肝纤维化;研究对象中位年龄42岁,男性占51%,抗逆转录病毒治疗中位疗程7年,96%的患者HIV核糖核酸载量<1000拷贝/mL。
650例经标准诊疗确诊的HCC病例中,患者中位年龄45岁,男性占68%,108例(18%)合并HIV感染。在3142人年的随访中,44例研究对象出现肝脏病灶,其中7例被确诊为HCC,发病率为2.55/1000人年。
主动监测组确诊时的肿瘤中位直径为1.6 cm,而标准诊疗组为7.1 cm;主动监测组确诊的HCC中多灶性病变占33.3%,且均未出现血管侵犯。主动监测检出的HCC肿瘤体积更小、分期更早,女性患者占比更高(58% vs. 33%)。主动监测队列中的所有确诊病例均在接受有抗乙肝活性的ART,且HIV RNA得到抑制,而在对照的HIV阳性HCC病例中,仅43.3%的患者实现病毒抑制。主动监测组患者确诊HCC后的1年和5年存活率分别为85.7%和42.9%,而标准诊疗组分别为16.8%和14.3%。
研究结论
接受有效ART的HIV感染者发生HCC的情况并不常见,而规范化的HCC主动监测可实现肿瘤的早期检出并改善患者存活率。上述研究结果表明,将HCC主动监测纳入高风险HIV感染者的艾滋病诊疗管理中具有潜在获益。
专家点评
优点:
本研究是撒哈拉以南非洲地区针对HIV人群开展的前瞻性HCC主动筛查研究,具有重要区域代表性。纳入345例高危患者,随访6年,使用标准化超声+弹性成像+AFP筛查,发现肿瘤中位直径仅1.6 cm,远小于常规诊断组的7.1 cm,显示出筛查的显著优势。
临床意义:
研究证实,在资源有限地区,通过每6个月的主动筛查可显著提高HCC早期诊断率和生存率(5年生存率42.9% vs. 14.3%)。这为将HCC筛查纳入HIV慢病管理提供了有力证据,尤其在HBV共感染人群中具有推广价值。
不足:
HCC确诊例数较少(仅7例),限制了亚组分析和统计效能,部分结论(如5年生存率42.9%)基于极少数病例,需谨慎解读。筛查组与对照组的可比性未完全匹配(如性别、病毒抑制率差异),存在选择偏倚。此外,筛查方案在真实世界中的可操作性、成本效益等尚需进一步评估。

彭劼 教授
南方医科大学南方医院感染内科肝病中心副主任,疑难感染病中心主任,教授,主任医师
中华医学会第十二届感染病学会常委
中华医学会细菌感染与耐药防治分会常委
中华预防医学会感染性疾病防控分会常委
中国艾协HIV合并肝病专委会副主任委员
中国防痨协会结核与肝病分会副主任委员
广东省医学会第九届感染病分会主任委员
广东省精准医学应用学会感染病分会主任委员
主持国家自然科学基金2项、主持国家传染病重大专项课题2项。发表科研论文100余篇
获广东省科技进步一等奖3项,中华医学科技奖二等奖1项,军队医疗成果二等奖3项

夏牧晔
南方医科大学南方医院感染内科,医学博士,住院医师
参与国家级课题多项,以第一或共一作者在Alimentary Pharmacology & Therapeutics ,Front Cell Infect Microbiol等杂志发表SCI 7篇
来源:《感染医线》
声 明
凡署名原创的文章版权属《感染医线》所有,欢迎分享、转载(开白可后台留言)。本文仅供医疗卫生专业人士了解最新医药资讯参考使用,不代表本平台观点。该等信息不能以任何方式取代专业的医疗指导,也不应被视为诊疗建议,如果该信息被用于资讯以外的目的,本站及作者不承担相关责任。
